AT_abc404_c [ABC404C] Cycle Graph?
Description
You are given a simple undirected graph with $ N $ vertices and $ M $ edges. The vertices are numbered $ 1,2,\dots,N $ and the edges are numbered $ 1,2,\dots,M $ . Edge $ i $ connects vertices $ A_i $ and $ B_i $ .
Determine whether this graph is a cycle graph.
Definition of simple undirected graphA simple undirected graph is a graph with undirected edges without self-loops or multi-edges.
Definition of cycle graphAn $ N $ -vertex graph with vertices labeled $ 1,2,\dots,N $ is a cycle graph when there exists a permutation $ (v_1,v_2,\dots,v_N) $ of $ (1,2,\dots,N) $ such that: - For each $ i = 1,2,\dots,N-1 $ , there is an edge between vertices $ v_i $ and $ v_{i+1} $ .
\- There is an edge between vertices $ v_N $ and $ v_1 $ .
\- No other edges exist.
Input Format
The input is given from Standard Input in the following format:
> $ N $ $ M $ $ A_1 $ $ B_1 $ $ \vdots $ $ A_M $ $ B_M $
Output Format
Output `Yes` if the given graph is a cycle graph; otherwise, print `No`.
Explanation/Hint
### Sample Explanation 1
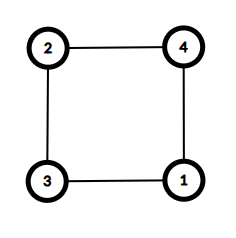
The given graph is as follows, and this is a cycle graph.

### Sample Explanation 2
The given graph is as follows, and this is not a cycle graph.

### Constraints
- $ 3 \le N \le 2\times 10^5 $
- $ 0 \le M \le 2\times 10^5 $
- $ 1 \le A_i, B_i \le N $
- The given graph is simple.
- All input values are integers.