AT_abc435_d [ABC435D] Reachability Query 2
Description
$ N $ 頂点 $ M $ 辺の有向グラフが与えられます。
頂点には $ 1 $ から $ N $ の番号がついており、 $ i $ 番目の辺は頂点 $ X_i $ から頂点 $ Y_i $ への有向辺です。
最初全ての頂点は白色です。
$ Q $ 個のクエリが与えられるので順に処理してください。クエリは以下の $ 2 $ 種類のいずれかです。
- `1 v`:頂点 $ v $ を黒色にする
- `2 v`:頂点 $ v $ から辺を辿って黒色の頂点に到達可能かどうか判定する
Input Format
入力は以下の形式で標準入力から与えられる。
> $ N $ $ M $ $ X_1 $ $ Y_1 $ $ \vdots $ $ X_M $ $ Y_M $ $ Q $ $ \mathrm{query}_1 $ $ \vdots $ $ \mathrm{query}_Q $
$ \mathrm{query}_i $ は $ i $ 番目のクエリを表し、以下のいずれかの形式で与えられる。
> $ 1 $ $ v $
> $ 2 $ $ v $
Output Format
$ 2 $ 種類目のクエリの個数を $ q $ として $ q $ 行出力せよ。
$ i $ 行目には、 $ i $ 番目の $ 2 $ 種類目のクエリにおいて到達可能なら `Yes`、到達不可能なら `No` と出力せよ。
Explanation/Hint
### Sample Explanation 1
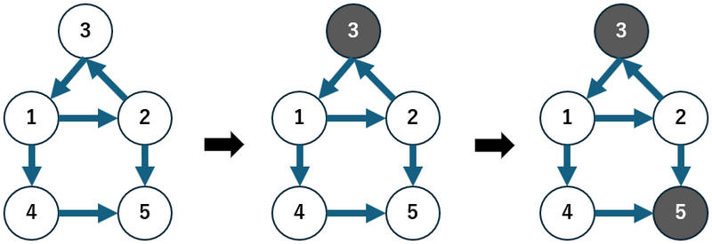
- 最初、与えられたグラフは下図一番左の通りです。
- $ 1 $ 番目のクエリにより頂点 $ 3 $ が黒色になり、下図中央のようになります。
- $ 2 $ 番目のクエリにおいて、頂点 $ 1 $ から黒色の頂点 $ 3 $ に到達可能です。
- $ 3 $ 番目のクエリにおいて、頂点 $ 4 $ から黒色の頂点に到達することはできません。
- $ 4 $ 番目のクエリにより頂点 $ 5 $ が黒色になり、下図右のようになります。
- $ 5 $ 番目のクエリにおいて、頂点 $ 4 $ から黒色の頂点 $ 5 $ に到達可能です。

### Constraints
- $ 1\leq N \leq 3\times 10^5 $
- $ 0\leq M \leq 3\times 10^5 $
- $ 1\leq Q \leq 3\times 10^5 $
- $ 1\leq X_i,Y_i \leq N $
- 自己辺をもたない。すなわち $ X_i \neq Y_i $
- 多重辺をもたない。すなわち $ (X_i,Y_i) $ は相異なる
- クエリにおいて $ 1 \leq v \leq N $
- 入力は全て整数