AT_arc205_d [ARC205D] Non-Ancestor Matching
题目描述
给定一棵有 $N$ 个顶点的有根树,顶点编号为 $1$ 到 $N$。顶点 $1$ 是根节点,顶点 $i$ 的父节点为 $p_i$($2 \le i \le N$,$1\le p_i < i$)。最初,所有顶点均被染为白色。
你可以执行如下操作任意多次(包括零次):
- 选择一对整数 $(u,v)$,满足以下所有条件:
- $1\le u < v \le N$
- 顶点 $u$ 和 $v$ 都是白色。
- $u$ 不是 $v$ 的祖先。
- 将顶点 $u$ 和 $v$ 染为黑色。
这里,$u$ 不是 $v$ 的祖先,表示无论你对 $v$ 向上传递到父节点多少次,都无法到达 $u$。
请你在合适的操作顺序下,计算你最多可以执行多少次操作。
有 $T$ 组测试数据,请你求出每组的答案。
输入格式
输入按如下格式给出:
> $T$
>
> $\text{case}_1$
>
> $\text{case}_2$
>
> $\vdots$
>
> $\text{case}_T$
每组测试数据 $\text{case}_i$ 格式如下:
> $N$
>
> $p_2$ $p_3$ $\ldots$ $p_N$
输出格式
输出 $T$ 行。
第 $i$ 行($1\le i\le T$)输出第 $i$ 个测试用例的答案。
说明/提示
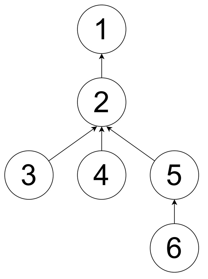
### 示例解释 1
考虑第一个测试用例。

你可以如下进行两次操作:
- 选择 $(u,v)=(3,5)$,将顶点 $3$ 和 $5$ 染成黑色。
- 选择 $(u,v)=(4,6)$,将顶点 $4$ 和 $6$ 染成黑色。
无法进行超过两次的操作,因此第一行输出 $2$。
### 数据范围
- $1\le T\le 5\times 10^4$
- $2\le N\le 5\times 10^5$
- $1\le p_i < i$
- 所有测试用例的 $N$ 之和不超过 $5\times 10^5$。
- 所有输入值均为整数。
由 ChatGPT 5 翻译