AT_pakencamp_2024_day1_f Degree
题目描述
给定一个正整数 $N$。请判断是否存在满足以下条件的简单无向图。
- 该图有 $M$ 个顶点,顶点 $i\ (1 \leq i \leq M)$ 的度数为 $d_i$。此时,$M \times d_1 \times d_2 \times \ldots \times d_M = N$。
输入格式
输入为一行,包含一个整数。
> $N$
输出格式
如果存在这样的图,输出 `Yes`;否则输出 `No`。
说明/提示
### 样例解释 1
不存在满足条件的图。
### 样例解释 2
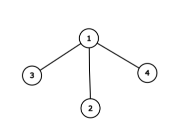
存在如下图满足条件:

### 数据范围
- $1 \leq N \leq 10^9$
- 输入均为整数。
由 ChatGPT 5 翻译