AT_pakencamp_2024_day1_l Taxi of Paken Kingdom
题目描述
在「パ研王国」有 $N$ 个城市,编号为 $1, 2, \ldots, N$,以及 $M$ 条双向道路,编号为 $1, 2, \ldots, M$,每条道路连接着不同的两个城市。第 $i$ 条道路($1 \leq i \leq M$)连接城市 $A_i$ 和城市 $B_i$,且不会有两条不同的道路连接同一对城市。从任意一个城市出发,都可以通过 $0$ 条或多条道路移动到任意其它城市,但不能不经过道路直接移动到其他城市。
现在是一年一度「パ研合宿」的季节,合宿将在城市 $1$ 举办,因此所有城市的参与者都需要前往城市 $1$。因为搬运行李很辛苦,参与者们会选择打出租车移动。
在「パ研王国」有 $N$ 家出租车公司,编号为 $1, 2, \ldots, N$,每家公司有如下规定:
- 第 $i$ 家出租车公司的出租车只能在城市 $i$ 上车。
- 第 $i$ 家公司的出租车不论移动距离多少,费用都是 $C_i$。
- 第 $i$ 家公司的出租车最多只能经过 $R_i$ 条道路。
参与者可以多次换乘不同公司的出租车,但除了乘坐出租车以外,不能通过其他方式移动到其它城市。
请你计算,从每个城市出发,只使用出租车到达城市 $1$ 所需支付的最小总费用。可以保证在上述限制下,从所有城市出发都至少有一种方案只用出租车即可到达城市 $1$。
输入格式
输入将通过标准输入按如下格式给出:
> $N$ $M$
> $A_1$ $B_1$
> $A_2$ $B_2$
> $\vdots$
> $A_M$ $B_M$
> $C_1$ $C_2$ $\ldots$ $C_N$
> $R_1$ $R_2$ $\ldots$ $R_N$
输出格式
请输出 $N$ 行,第 $i$ 行($1 \leq i \leq N$)表示从城市 $i$ 出发,只使用出租车到达城市 $1$ 所需支付的最小总费用。
说明/提示
### 样例解释 1
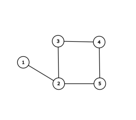
「パ研王国」的结构如下:

例如,从城市 $5$ 到城市 $1$ 的一条可行路线如下:
1. 在城市 $5$ 乘坐第 $5$ 家出租车公司出租车,到达城市 $4$。
2. 在城市 $4$ 乘坐第 $4$ 家出租车公司出租车,到达城市 $1$。
此时总费用为 $100+200=300$。没有比 $300$ 更小的成本方案,因此应输出 $300$。
### 数据范围
- $2 \leq N \leq 2 \times 10^5$
- $1 \leq M \leq 2 \times 10^5$
- $1 \leq A_i < B_i \leq N$ ($1 \leq i \leq M$)
- $(A_i, B_i) \neq (A_j, B_j)$ ($1 \leq i < j \leq M$)
- 任意两城市之间连通
- $1 \leq C_i \leq 10^9$ ($1 \leq i \leq N$)
- $1 \leq R_i \leq 10$ ($1 \leq i \leq N$)
- 所有输入均为整数。
由 ChatGPT 5 翻译