AT_pakencamp_2024_day2_c Can Make Palindrome
题目描述
パ研王国由 $N$ 个城镇组成,每个城镇分别编号为 $1, 2, \ldots, N$。这些城镇通过 $N-1$ 条道路相连,道路编号为 $1, 2, \ldots, N-1$。第 $i$ 条道路($1 \leq i \leq N-1$)双向连接着城镇 $A_i$ 和城镇 $B_i$。任意两个城镇之间都可以通过若干(包括零)条道路相互到达。
定义两个城镇 $a, b$ 之间的距离为从 $a$ 走到 $b$ 时所经过的最少边数。特别地,当 $a=b$ 时,距离为 $0$。
每个城镇都有一家出售“文字”的商店。パ研王国的“文字”用区间 $[1, N]$ 内的整数表示,城镇 $i$ 的商店只出售文字 $C_i$。且每家商店的库存都足够,不会卖光。
接下来,パ研王国将连续举办 $M$ 天的游行活动。第 $i$ 天,沿从城镇 $U_i$ 到城镇 $V_i$ 的最短路径上的所有城镇(包括 $U_i, V_i$)都会举办游行。特别地,若 $U_i = V_i$,那么仅在该城镇举办。当天,仅有游行路线上的城镇商店开门营业,其他城镇的商店关闭,无法购买文字。
作为パ研王国的国王,你希望用由各地居民献上的文字,迎接前来参加游行的民众。你会在第 $i$ 天向居住在编号为 $L_i, L_i+1, \ldots, R_i$ 的城镇的居民分别下达如下指示:
- 第 $i$ 天,居住在指定区间内每个城镇的居民,各自从距离自己最近的游行城镇的商店购买一种文字,然后献给你。
你相信回文字符串最为美丽,因此想用居民们献上的文字制作回文以示欢迎。给出 $Q$ 个区间 $(S_i, T_i)$,请判断在重新排列 $S_i, S_i+1, \ldots, T_i$ 天获得的所有文字后,是否能组成一个回文串。
输入格式
输入按如下格式从标准输入中给出:
> $N$
> $A_1$ $B_1$
> $A_2$ $B_2$
> $\vdots$
> $A_{N-1}$ $B_{N-1}$
> $C_1$ $C_2$ $\ldots$ $C_N$
> $M$
> $U_1$ $V_1$ $L_1$ $R_1$
> $U_2$ $V_2$ $L_2$ $R_2$
> $\vdots$
> $U_M$ $V_M$ $L_M$ $R_M$
> $Q$
> $S_1$ $T_1$
> $S_2$ $T_2$
> $\vdots$
> $S_Q$ $T_Q$
输出格式
输出 $Q$ 行。对于每组整数对 $(S_i, T_i)$,如果通过重新排列这段时间获得的全部文字可以构成回文串,则输出 `Yes`,否则输出 `No`。(12:51 修正)
说明/提示
## 小子任务
1. ($5$ 分)$N \leq 300, M \leq 300, Q = 1, S_1 = 1, T_1 = M, C_i \leq 2$($1 \leq i \leq N$)
2. ($5$ 分)$N \leq 2000, M \leq 2000, Q = 1, S_1 = 1, T_1 = M, C_i \leq 2$($1 \leq i \leq N$)
3. ($5$ 分)$N \leq 2000, M \leq 2000, C_i \leq 2$($1 \leq i \leq N$)
4. ($5$ 分)$A_i = i, B_i = i+1$($1 \leq i \leq N-1$),$C_i \leq 2$($1 \leq i \leq N$)
5. ($20$ 分)$A_{i+1} = B_i$($1 \leq i \leq N-2$),$C_i \leq 2$($1 \leq i \leq N$)
6. ($10$ 分)$A_{i+1} = B_i$($1 \leq i \leq N-2$)
7. ($40$ 分)$C_i \leq 2$($1 \leq i \leq N$)
8. ($10$ 分)无额外限制
## 样例解释 1
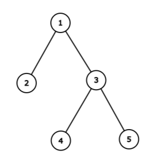
パ研王国如图所示:

此外,每天游行发生如下:
- 第 $1$ 天在城镇 $1, 3, 5$ 举行。你会对城镇 $2, 3, 4$ 的居民下指示,居民分别在城镇 $1, 3, 3$ 购得文字 $1, 1, 1$。
- 第 $2$ 天在城镇 $2, 1, 3, 4$ 举行。你会对城镇 $1, 2, 3$ 的居民下指示,居民分别在城镇 $1, 2, 3$ 购得文字 $1, 2, 1$。
- 第 $3$ 天在城镇 $3$ 举行。你会对城镇 $5$ 的居民下指示,居民在城镇 $3$ 获得文字 $1$。
于是,第 $1, 2, 3$ 天获得的全部文字重排可组成 $1, 1, 1, 2, 1, 1, 1$,可以排列成回文。
本样例满足小题 $1, 2, 3, 7, 8$ 的限制。
## 样例解释 2
本样例满足小题 $3, 4, 5, 6, 7, 8$ 的限制。
## 样例解释 3
本样例满足小题 $3, 5, 6, 7, 8$ 的限制。
## 样例解释 4
本样例满足小题 $8$ 的限制。
## 数据范围
- $2 \leq N \leq 2 \times 10^5$
- $1 \leq M \leq 2 \times 10^5$
- $1 \leq Q \leq 2 \times 10^5$
- $1 \leq A_i, B_i \leq N$($1 \leq i \leq N-1$)
- 任意两城镇间均连通
- $1 \leq C_i \leq N$($1 \leq i \leq N$)
- $1 \leq U_i \leq V_i \leq N$($1 \leq i \leq M$)
- $1 \leq L_i \leq R_i \leq N$($1 \leq i \leq M$)
- $1 \leq S_i \leq T_i \leq M$($1 \leq i \leq Q$)
- 输入均为整数
由 ChatGPT 5 翻译