AT_ttpc2023_p Bridge Elimination

题目描述

有一个 $N$ 个顶点的无向图。这些顶点从 $1$ 到 $N$ 编号,每个顶点 $i\ (1 \le i \le N)$ 上写有一个整数 $A_i$。该图初始没有边,你可以自由地添加边。 对于该图而言,使其成为一个简单图的连边方式共有 $2^{\frac{N(N-1)}{2}}$ 种。对于每一种方式,计算如下的 **得分**,并求所有可能连边方式下得分的总和,对 $998244353$ 取模后输出。 - 如果图不连通,则该方案的 **得分** 为 $0$。 - 如果图连通,将该图中的所有桥边删除,得到图 $G$。对 $G$ 的每个连通分量,计算其所有顶点对应 $A_i$ 的和;将这些和相乘,作为该方案的 **得分**。

输入格式

输入从标准输入给出,格式如下: > $N$ $A_1$ $A_2$ $\dots$ $A_N$

输出格式

请输出答案。

说明/提示

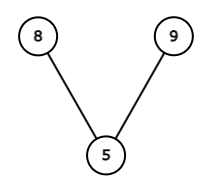
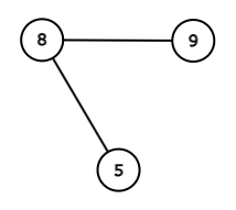
## 样例解释 1 对于 $3$ 个顶点的简单连通无向图,共有如下 $4$ 种情况。 ![graph1](https://cdn.luogu.com.cn/upload/vjudge_pic/AT_ttpc2023_p/e82f982f7665668a20cd3c638512c202a1b62041d88ba949f63f43834e52aef4.png) ![graph2](https://cdn.luogu.com.cn/upload/vjudge_pic/AT_ttpc2023_p/d355036cce9c1327270d22cac554cd27323a9986148ebee2a655b1218dcb1738.png) ![graph3](https://cdn.luogu.com.cn/upload/vjudge_pic/AT_ttpc2023_p/8bf2ef7afd17f6992b3200a88f5f798dd0b34ff008f3dc98487845c6441632d9.png) ![graph4](https://cdn.luogu.com.cn/upload/vjudge_pic/AT_ttpc2023_p/0af023eb7c4722c6f197ddd5dcaddcf889f406b69078ee68186b0b86d3413aba.png) 四种情况下得分从左到右分别为 $360, 360, 360, 22$,所以答案为 $1102$。 ## 样例解释 3 请将答案对 $998244353$ 取模后输出。 ## 数据范围 - $1 \le N \le 400$ - $0 \le A_i < 998244353\ (1 \le i \le N)$ - 输入均为整数。 由 ChatGPT 5 翻译