CF1061F Lost Root
题目描述
如果一个图是连通的且没有环,则称其为树。假设树以某个顶点为根,则当树满足每个节点要么是叶子节点(没有子节点),要么恰好有 $k$ 个子节点,并且所有叶子节点的深度都相同,则称其为完美 $k$ 叉树。
例如,下图展示了一个有 $15$ 个节点的完美二叉树:

现在有一棵包含 $n$ 个节点的完美 $k$ 叉树。节点被标记为 $1$ 到 $n$ 的不同整数,但你并不知道每个节点的具体标号。你需要找出树的根节点的标号。
你最多可以进行 $60 \cdot n$ 次如下类型的询问:
- "? $a$ $b$ $c$":如果标号为 $b$ 的节点在从 $a$ 到 $c$ 的路径上,则返回 "Yes",否则返回 "No"。
注意,$a$ 和 $c$ 本身也被认为在从 $a$ 到 $c$ 的路径上。
当你准备好报告树的根节点时,输出
- "! $s$",其中 $s$ 是树根节点的标号。
你只能报告一次根节点,且该操作不计入 $60 \cdot n$ 次询问的限制。
输入格式
标准输入的第一行包含两个整数 $n$ 和 $k$($3 \le n \le 1500$,$2 \le k < n$),分别表示树的节点数和 $k$ 的值。
保证 $n$ 一定能构成某个深度的完美 $k$ 叉树。
你最多可以进行 $60 \cdot n$ 次询问。每次询问,输出一行 "? $a$ $b$ $c$",其中 $1 \le a, b, c \le n$。随后你需要读取一行,内容为 "Yes" 或 "No",表示该询问的答案。
对于每个测试用例,树的结构是固定的,并且与你的询问无关。
当你准备好输出答案时,输出一行 "! $s$",其中 $s$ 是根节点的标号,然后终止程序。
每次输出询问后不要忘记输出换行并刷新输出缓冲区,否则可能会因“空闲时间超限”而被判为超时。具体操作如下:
- C++:fflush(stdout) 或 cout.flush()
- Java:System.out.flush()
- Pascal:flush(output)
- Python:stdout.flush()
- 其他语言请参考相关文档
如果你的程序询问次数超过 $60 \cdot n$,即使其它交互流程正确,也会被判为“Wrong Answer”。
输出格式
见输入格式说明。
说明/提示
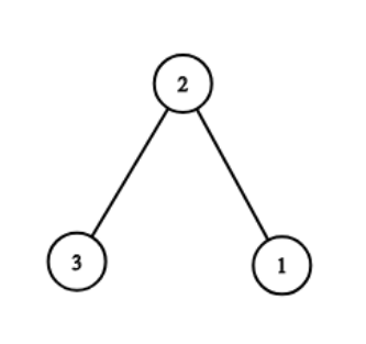
示例中的树如下:

示例输入输出展示了该测试的可能交互过程(空行仅为便于阅读)。
对应该示例的 hack 格式如下:
`
3 2
2 3 1
` # 额外说明 我们称如下顺序为树的“自然顺序”:首先是树的根节点,然后是所有深度为 $1$ 的节点(从左到右),接着是所有深度为 $2$ 的节点(从左到右),依此类推,直到最大深度。 因此,hack 数据中的 $a_1$ 就是根节点的标号。 由 ChatGPT 4.1 翻译
3 2
2 3 1
` # 额外说明 我们称如下顺序为树的“自然顺序”:首先是树的根节点,然后是所有深度为 $1$ 的节点(从左到右),接着是所有深度为 $2$ 的节点(从左到右),依此类推,直到最大深度。 因此,hack 数据中的 $a_1$ 就是根节点的标号。 由 ChatGPT 4.1 翻译