CF1062E Company
题目描述
公司 $X$ 有 $n$ 名员工,编号从 $1$ 到 $n$。每个员工 $u$ 都有一个直属上司 $p_u$($1 \le p_u \le n$),但员工 $1$ 没有上司。保证所有 $p_i$ 构成一棵树。若员工 $u$ 是员工 $v$ 的直属上司,或存在某个员工 $w$,使得 $w$ 负责 $v$,且 $u$ 是 $w$ 的直属上司,则称 $u$ 负责 $v$。此外,任何员工都被认为负责自己。
对于每个员工 $u$,定义其级别 $lv(u)$ 如下:
- $lv(1)=0$
- $lv(u)=lv(p_u)+1$,其中 $u \neq 1$
未来公司有 $q$ 个可能的运营方案。第 $i$ 个方案包含两个整数 $l_i$ 和 $r_i$,表示编号在区间 $[l_i, r_i]$ 内的所有员工(且仅这些员工)参与该方案。为了顺利执行方案,必须有一名项目经理,且该项目经理需要负责所有参与的员工。即,若选择员工 $u$ 作为第 $i$ 个方案的项目经理,则对于每个 $v \in [l_i, r_i]$,$u$ 必须负责 $v$。注意,$u$ 不一定在 $[l_i, r_i]$ 区间内。此外,$u$ 总是选择级别 $lv(u)$ 尽可能大的员工(级别越高,工资越低)。
在任何方案执行前,公司让 JATC 检查了他们的方案。JATC 一眼就发现,对于每个方案,都可以恰好减少一名参与员工而不影响方案的执行。公司出于节省成本的目的,询问 JATC 应该将哪位员工从方案中剔除,才能使所需项目经理的级别最大。JATC 已经知道答案,现在挑战你来解决这个问题。
输入格式
第一行包含两个整数 $n$ 和 $q$($2 \le n \le 100\,000$,$1 \le q \le 100\,000$),分别表示员工人数和方案数。
第二行包含 $n-1$ 个整数 $p_2, p_3, \dots, p_n$($1 \le p_i \le n$),表示员工 $i$ 的直属上司为 $p_i$。
保证所有 $p_i$ 构成以 $1$ 为根的有向树。
接下来的 $q$ 行,每行包含两个整数 $l_i$ 和 $r_i$($1 \le l_i < r_i \le n$),表示第 $i$ 个方案涉及的员工编号区间。
输出格式
输出 $q$ 行,每行包含两个整数,分别表示应从对应方案中剔除的员工编号,以及此时所需项目经理的最大可能级别。
如果有多种选择,输出任意一种均可。
说明/提示
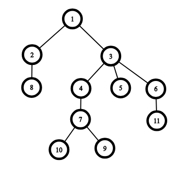
例如:

在第一个询问中,可以选择剔除 $4$、$5$ 或 $6$,此时项目经理为 $3$。
在第二个询问中,若剔除除 $8$ 以外的任意员工,项目经理为 $1$。若剔除 $8$,项目经理为 $3$。由于 $lv(3)=1 > lv(1)=0$,所以选择剔除 $8$ 最优。
在第三个询问中,无论剔除哪位员工,项目经理都只能是 $1$。
在第四个询问中,若剔除 $9$ 或 $10$,项目经理为 $3$;若剔除 $11$,项目经理为 $7$。由于 $lv(7)=3>lv(3)=1$,所以选择剔除 $11$。
由 ChatGPT 4.1 翻译