CF1073F Choosing Two Paths
题目描述
给定一棵包含 $n$ 个顶点的无向无权树。
无向树是一个连通的无向图,包含 $n-1$ 条边。
你的任务是从这棵树中选择两对顶点(所有被选中的顶点都必须互不相同),即 $(x_1, y_1)$ 和 $(x_2, y_2)$,使得 $x_1$ 和 $y_1$ 都不在从 $x_2$ 到 $y_2$ 的简单路径上,反之亦然(即 $x_2$ 和 $y_2$ 也都不在从 $x_1$ 到 $y_1$ 的简单路径上)。
保证对于给定的树一定可以选择出满足条件的两对顶点。
在所有可能的选择方案中,你需要选择一组,使得从 $x_1$ 到 $y_1$ 的路径与从 $x_2$ 到 $y_2$ 的路径的公共顶点数最大。在所有公共顶点数最大的方案中,再选择一组使得这两条路径的总长度最大。
保证对于给定的树,存在至少有两个公共顶点的答案。
路径的长度是指路径上的边数。
简单路径是指每个顶点最多只经过一次的路径。
输入格式
第一行包含一个整数 $n$,表示树的顶点数($6 \le n \le 2 \times 10^5$)。
接下来的 $n-1$ 行,每行描述树中的一条边。
第 $i$ 条边由两个整数 $u_i$ 和 $v_i$ 表示,表示该边连接顶点 $u_i$ 和 $v_i$($1 \le u_i, v_i \le n$,$u_i \ne v_i$)。
保证给定的边构成一棵树。
保证存在至少有两个公共顶点的答案。
输出格式
输出任意一组满足题目要求的两对顶点。
保证一定存在满足条件的选择方案。
说明/提示
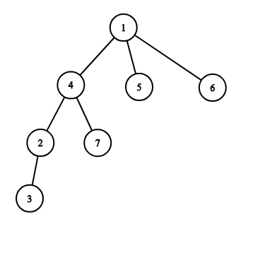
第一个样例对应的图如下:
两条路径的交集为 $2$(顶点 $1$ 和 $4$),总长度为 $4+3=7$。
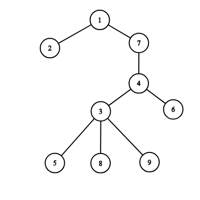
第二个样例对应的图如下:
两条路径的交集为 $2$(顶点 $3$ 和 $4$),总长度为 $5+3=8$。
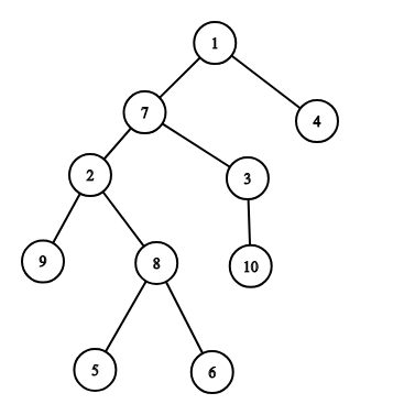
第三个样例对应的图如下:
两条路径的交集为 $3$(顶点 $2$、$7$ 和 $8$),总长度为 $5+5=10$。
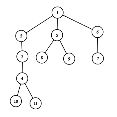
第四个样例对应的图如下:
两条路径的交集为 $5$(顶点 $1$、$2$、$3$、$4$ 和 $5$),总长度为 $6+6=12$。
由 ChatGPT 4.1 翻译