CF1109D Sasha and Interesting Fact from Graph Theory
题目描述
有一次,在上课时,Sasha 感到无聊,决定和朋友们聊天。突然,他看到了 Kefa。关于 Kefa 的话题可以聊个没完没了,所以我们就不展开了。话题转到了图论。Kefa 承诺,如果 Sasha 帮他计算出美丽树的数量,他就会告诉 Sasha 一个有趣的图论事实。
在本题中,一棵树是一个带权连通图,由 $n$ 个顶点和 $n-1$ 条边组成,边的权值是 $1$ 到 $m$ 之间的整数。Kefa 这样定义一棵树的美丽:他在树中找到他最喜欢的两个顶点——编号为 $a$ 和 $b$ 的顶点,并计算它们之间的距离。顶点 $x$ 和 $y$ 之间的距离是从 $x$ 到 $y$ 的简单路径上所有边的权值之和。如果顶点 $a$ 和 $b$ 之间的距离等于 $m$,那么这棵树就是美丽的。
Sasha 喜欢图论,更喜欢有趣的事实,所以他同意帮助 Kefa。幸运的是,Sasha 认识你——Byteland 最棒的程序员。请你帮助 Sasha 计算美丽树的数量。两棵树被认为是不同的,如果存在一条边只出现在其中一棵树中,或者同一条边的权值不同。
Kefa 提醒 Sasha,美丽树的数量可能非常多,因此只需要输出答案对 $10^9+7$ 取模后的结果。
输入格式
第一行包含四个整数 $n$、$m$、$a$、$b$($2 \le n \le 10^6$,$1 \le m \le 10^6$,$1 \le a, b \le n$,$a \neq b$)——树的顶点数、边权的最大值,以及 Kefa 最喜欢的两个顶点编号。
输出格式
输出一个整数,表示美丽树的数量,对 $10^9+7$ 取模。
说明/提示
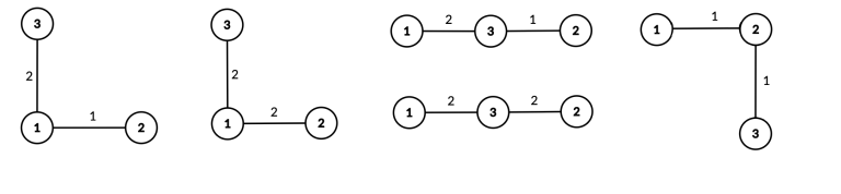
在第一个样例中,有 $5$ 棵美丽树:

在第二个样例中,以下树是美丽的:

由 ChatGPT 4.1 翻译