CF1137F Matches Are Not a Child's Play
题目描述
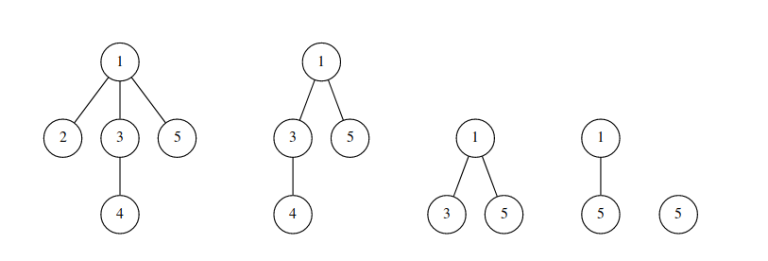
现在有一棵 $n$ 个节点的无根树,每个节点有权重 $p_i$,初始 $p_i=i$。
我们定义一棵树的删除序列为:每一次将树中权重最小的叶子删掉,将该节点编号加入到当前序列的最末端,最后只剩下一个节点时将该节点的编号加入到结尾。

例如对于上图中的树,它的删除序列为:`2 4 3 1 5`。
现在给出一棵 $n$ 个节点的树,有 $m$ 次操作:
`up v`:将 $v$ 号节点的权重 $p_v$ 变为 $\max_{1\le i\le n}p_i + 1$;
`when v`:查询 $v$ 在当前树的删除序列中是第几号元素;
`compare u v`:查询 $u$ 和 $v$ 在当前树的删除序列中谁更靠前。
输入格式
第一行两个正整数 $n,q(1 \leq n , q \leq 200000)$ 表示树的点数和操作数。
接下来 $n-1$ 行每行 $2$ 个正整数 $u,v(1 \leq u,v \leq n)$ 表示树上的一条边。
接下来 $q$ 行每行描述一个操作。
输出格式
每一个询问输出一行。
对于 `when v` 询问,输出一个正整数表示 $v$ 是当前删除序列的哪一个元素。
对于 `compare u v` 询问,如果 $u$ 在删除序列中更靠前则输出 $u$,否则输出 $v$。
说明/提示
In the first example, the process of burning of the tree is illustrated on the following picture:
In particular, the vertices of the tree will burn out in the following order: $ [2, 4, 3, 1, 5] $ .
In the second example, after applying the "up" operation, the order of vertices will change to: $ [2, 4, 3, 5, 1] $ .