CF120F Spiders
题目背景
请注意本题需要文件读写。
你的代码需要从 `input.txt` 中读入数据,并向 `output.txt` 输出。
题目描述
Petya 有 $n$ 只玩具蜘蛛,每只玩具蜘蛛可以看作一棵无根树。节点大小忽略不计,边的长度为 1。
Petya 可以在两只蜘蛛中各选一个节点粘在一起,从而形成一只新蜘蛛。新的蜘蛛也是一棵树。
他希望把所有蜘蛛用上面的方式粘在一起,并让新形成的蜘蛛中最远的两个节点距离最大(即树的直径最大)。
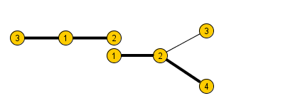
如图,在样例 2 中,Petya 将第一只蜘蛛的 2 号点与第二只蜘蛛的 1 号点粘在一起,新得到的蜘蛛的直径被加粗标出。


输入格式
第一行一个正整数 $n(1\leq n\leq 100)$,代表蜘蛛的数量。
之后 $n$ 行,每行开头为一个正整数 $n_i(2\leq n_i\leq 100)$,代表第 $i$ 只蜘蛛的节点数;接下来 $n_i-1$ 对正整数,每一对代表某两点之间有边直接相连。
输出格式
一行一个正整数,代表新形成的蜘蛛中最远的两个节点距离的最大值(即树的直径的最大值)。
说明/提示
请注意本题需要文件读写。
你的代码需要从 `input.txt` 中读入数据,并向 `output.txt` 输出。