CF1210F1 Marek and Matching (easy version)
题目描述
这是该问题的简化版本。在本版本中,$n \le 6$。
Marek 正在努力为他的新算法题目设计强有力的测试数据。你想知道题目内容吗?不,我们不会告诉你。不过,我们可以告诉你他是如何生成测试数据的。
Marek 选择一个整数 $n$,以及 $n^2$ 个整数 $p_{ij}$($1 \le i \le n$,$1 \le j \le n$)。然后他生成一个有 $2n$ 个点的随机二分图。左侧有 $n$ 个点:$\ell_1, \ell_2, \dots, \ell_n$,右侧有 $n$ 个点:$r_1, r_2, \dots, r_n$。对于每一对 $i$ 和 $j$,他以 $p_{ij}$ 的百分比概率,在 $\ell_i$ 和 $r_j$ 之间连一条边。
事实证明,只有当生成的图中存在完美匹配时,测试数据才是强有力的。问生成的二分图中存在完美匹配的概率是多少?
可以证明,这个概率可以表示为 $\frac{P}{Q}$,其中 $P$ 和 $Q$ 是互质的整数,且 $Q \not\equiv 0 \pmod{10^9+7}$。令 $Q^{-1}$ 为满足 $Q \cdot Q^{-1} \equiv 1 \pmod{10^9+7}$ 的整数。请输出 $P \cdot Q^{-1} \bmod{10^9+7}$ 的值。
输入格式
输入的第一行包含一个整数 $n$($1 \le n \le 6$)。接下来的 $n$ 行描述每条边出现的概率。第 $i$ 行包含 $n$ 个整数 $p_{i1}, p_{i2}, \dots, p_{in}$($0 \le p_{ij} \le 100$);$p_{ij}$ 表示在 $\ell_i$ 和 $r_j$ 之间连边的概率(百分比)。
输出格式
输出一个整数——生成的二分图中存在完美匹配的概率,记作 $P \cdot Q^{-1} \bmod{10^9+7}$,其中 $P$、$Q$ 如上所述。
说明/提示
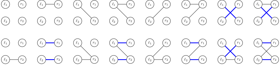
在第一个样例测试中,所有 $16$ 种图出现的概率相等。其中有 $7$ 种图存在完美匹配:

因此,概率为 $\frac{7}{16}$。由于 $16 \cdot 562\,500\,004 = 1 \pmod{10^9+7}$,所以本测试用例的答案为 $7 \cdot 562\,500\,004 \bmod{10^9+7} = 937\,500\,007$。
由 ChatGPT 4.1 翻译