CF1228F One Node is Gone

题目描述

给定一个正整数$n(2\le n\le17)$ 我们将会先生成一个大小为$2^n-1$的完全二叉树,其有一个根 现在以某种规则删去了其中的一个非根节点,具体规则如下: 设删去点为$u$ 那么我们会删去所有$u$的出边,然后将其所有直系儿子与$u$的父亲连一条边,特别的,如果$u$是一个叶子节点,则不会连边. 现在给定一棵树,希望你求出其能否以上述规则通过删除完全二叉树的一个点后得到,如果可以,求出方案数并输出所有方案中$u$的父亲,你需要升序输出

输入格式

第一行一个正整数$n$ 接下来$2^n-3$行,每行描述给定树的一条边

输出格式

第一行输出方案数,若不为$0$,则第二行升序输出所有可能的父亲节点,否则不输出第二行

说明/提示

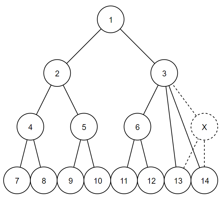
In the first example, $ 3 $ is the only possible answer. ![](https://cdn.luogu.com.cn/upload/vjudge_pic/CF1228F/1754fd4bf87edec9c525b2fea719abcb3e1c738a.png)In the second example, there are $ 2 $ possible answers. ![](https://cdn.luogu.com.cn/upload/vjudge_pic/CF1228F/d157817934097a9f3fbcc09dc41c3ec14e3ff427.png)In the third example, the tree can't be generated by McDic's generation.