CF1263F Economic Difficulties
题目描述
Berland 宫殿的电网由两套系统组成:主电网和备用电网。宫殿中的电线由昂贵的材料制成,因此出售其中一些电线是个不错的主意!
每个电网(主电网和备用电网)都有一个首节点(编号为 $1$)。每个其他节点都从首节点获得电力。每个节点都可以通过唯一的一条路径从首节点到达。此外,每个电网恰好有 $n$ 个节点,这些节点不再向下分配电力。
换句话说,每个电网都是一棵以 $1$ 号节点为根的有向树,且有 $n$ 个叶子节点。每棵树的节点编号独立,且两棵树之间的节点没有连接。
此外,宫殿里有 $n$ 台电器。每台电器都连接到主电网的一个节点和备用电网的一个节点。电器只连接到那些不再向下分配电力的节点(即树的叶子)。每个电网的每个叶子节点都恰好连接一台电器。

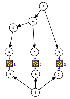
在这个例子中,主电网包含 $6$ 个节点(上方的树),备用电网包含 $4$ 个节点(下方的树)。有 $3$ 台电器,编号用蓝色标出。
保证整个电网(两套电网和 $n$ 台电器)都可以如上图所示地表示:
- 主电网是上方的树,电线方向为“自上而下”;
- 备用电网是下方的树,电线方向为“自下而上”;
- 电器位于两套电网之间的一排,编号从 $1$ 到 $n$,从左到右排列;
- 两套电网内部的连线不会相交。
形式化地说,对于每棵树,都存在一次从 $1$ 号节点出发的深度优先遍历,遍历叶子的顺序与电器 $1,2,\dots,n$ 的连接顺序一致(首先访问连接到电器 $1$ 的节点,然后是电器 $2$,依此类推)。
商人希望尽可能多地出售(移除)电线,同时保证每台电器至少能从一套电网(主电网或备用电网)获得电力。换句话说,对于每台电器,至少存在一条仅包含同一电网节点的路径,从该电器连接的节点到首节点。
输入格式
第一行包含一个整数 $n$($1 \le n \le 1000$),表示宫殿中的电器数量。
第二行包含一个整数 $a$($1 + n \le a \le 1000 + n$),表示主电网的节点数。
第三行包含 $a-1$ 个整数 $p_i$($1 \le p_i \le a$)。每个 $p_i$ 表示主电网中存在一条从 $p_i$ 号节点到第 $i+1$ 号节点的电线。
第四行包含 $n$ 个整数 $x_i$($1 \le x_i \le a$),表示第 $i$ 台电器连接的主电网节点编号。
第五行包含一个整数 $b$($1 + n \le b \le 1000 + n$),表示备用电网的节点数。
第六行包含 $b-1$ 个整数 $q_i$($1 \le q_i \le b$)。每个 $q_i$ 表示备用电网中存在一条从 $q_i$ 号节点到第 $i+1$ 号节点的电线。
第七行包含 $n$ 个整数 $y_i$($1 \le y_i \le b$),表示第 $i$ 台电器连接的备用电网节点编号。
保证每个电网都是一棵有 $n$ 个叶子的树,且每个叶子节点都连接一台电器。同时保证对于每棵树,都存在一次从 $1$ 号节点出发的深度优先遍历,遍历叶子的顺序与电器的连接顺序一致。
输出格式
输出一个整数,表示在保证每台电器都能通电的前提下,最多可以切断多少根电线。
说明/提示
对于第一个样例,下图展示了一种可能的方案(红色标记的为可移除的电线):

第二个和第三个样例如下图所示:

由 ChatGPT 4.1 翻译