CF1381D The Majestic Brown Tree Snake
题目描述
有一棵包含 $n$ 个顶点的无向树,由 $n-1$ 条双向边连接。现在有一条蛇卡在这棵树中。蛇的头在顶点 $a$,尾在顶点 $b$。蛇的身体占据了从 $a$ 到 $b$ 的唯一一条简单路径上的所有顶点。
蛇想知道它是否可以将自己反转——也就是说,能否让它的头移动到原来尾所在的位置,尾移动到原来头所在的位置。遗憾的是,蛇的移动受到树结构的限制。
在一次操作中,蛇可以将头移动到一个未被蛇占据的相邻顶点。此时,尾会向头靠近一个顶点,以保持蛇的长度不变。同理,蛇也可以将尾移动到一个未被蛇占据的相邻顶点,此时头会向尾靠近一个顶点。

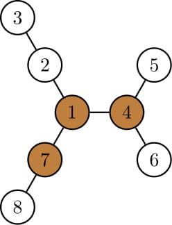
我们用 $(h, t)$ 表示蛇的位置,其中 $h$ 表示蛇头所在顶点的编号,$t$ 表示蛇尾所在顶点的编号。对于上图中的蛇,可以通过如下操作实现反转:
$(4,7)\to (5,1)\to (4,2)\to (1,3)\to (7,2)\to (8,1)\to (7,4)$。
请判断是否存在一系列操作,使得蛇能够完成反转。
输入格式
第一行包含一个整数 $t$($1\le t\le 100$),表示测试用例的数量。接下来是每个测试用例的描述。
每个测试用例的第一行包含三个整数 $n,a,b$($2\le n\le 10^5,1\le a,b\le n,a\ne b$)。
接下来的 $n-1$ 行,每行包含两个整数 $u_i,v_i$($1\le u_i,v_i\le n,u_i\ne v_i$),表示顶点 $u_i$ 和 $v_i$ 之间有一条边。保证给定的边构成一棵树。
保证所有测试用例中 $n$ 的总和不超过 $10^5$。
输出格式
对于每个测试用例,如果蛇能够完成反转,输出 "YES";否则输出 "NO"。
说明/提示
第一个测试用例如上图所示。
在第二个测试用例中,树是一条链。可以证明蛇无法完成反转。
在第三个测试用例中,也可以证明蛇无法完成反转。
在第四个测试用例中,以下是一种可行的操作序列:
$(15,12)\to (16,11)\to (15,13)\to (10,14)\to (8,13)\to (4,11)\to (1,10)$
$\to (2,8)\to (3,4)\to (2,5)\to (1,6)\to (4,7)\to (8,6)\to (10,5)$
$\to (11,4)\to (13,8)\to (14,10)\to (13,15)\to (11,16)\to (12,15)$。
由 ChatGPT 4.1 翻译