CF1385F Removing Leaves
题目描述
给定一棵包含 $n$ 个顶点的树(无环连通图)。这棵树是无根的——也就是说,它只是一个无环的连通无向图。
每一步,你可以选择恰好 $k$ 个叶子(叶子是指只与一个其它顶点相连的顶点),这些叶子都与同一个顶点相连,并将它们以及与它们相连的边一起删除。也就是说,你可以选择叶子 $u_1, u_2, \dots, u_k$,它们都与同一个顶点 $v$ 相连(存在边 $(u_1, v)$,$(u_2, v)$,$\dots$,$(u_k, v)$),然后删除这些叶子和这些边。
你的任务是,若每一步都最优地删除叶子,求最多可以进行多少次这样的操作。
你需要回答 $t$ 组独立的测试用例。
输入格式
输入的第一行包含一个整数 $t$($1 \le t \le 2 \cdot 10^4$),表示测试用例的数量。接下来是 $t$ 组测试用例。
每组测试用例的第一行包含两个整数 $n$ 和 $k$($2 \le n \le 2 \cdot 10^5$;$1 \le k < n$),分别表示树的顶点数和每次操作要删除的叶子数。接下来的 $n-1$ 行描述树的边。第 $i$ 行包含两个整数 $x_i$ 和 $y_i$($1 \le x_i, y_i \le n$),表示第 $i$ 条边连接的两个顶点。保证给定的边集构成一棵树。
保证所有测试用例中 $n$ 的总和不超过 $2 \cdot 10^5$($\sum n \le 2 \cdot 10^5$)。
输出格式
对于每组测试用例,输出一个整数,表示最多可以进行多少次操作。
说明/提示
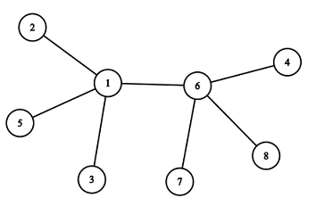
下图对应第一个样例:

你可以在第一次操作中删除顶点 $2$、$5$ 和 $3$,第二次操作中删除顶点 $1$、$7$ 和 $4$。
下图对应第二个样例:

你可以在第一次操作中删除顶点 $7$、$8$ 和 $9$,第二次操作中删除顶点 $5$、$6$ 和 $10$,第三次操作中删除顶点 $1$、$3$ 和 $4$。
下图对应第三个样例:

你可以在第一次操作中删除顶点 $5$ 和 $7$,第二次操作中删除顶点 $2$ 和 $4$,第三次操作中删除顶点 $1$ 和 $6$。
由 ChatGPT 4.1 翻译