CF1391E Pairs of Pairs
题目描述
给定一个包含 $n$ 个节点和 $m$ 条边的简单连通无向图。
现在考虑将这 $n$ 个节点中的某些节点两两配对,要求任意一个节点最多只能属于一个配对。
如果对于任意两对配对 $(a, b)$ 和 $(c, d)$,由这四个节点 $\{a, b, c, d\}$ 构成的诱导子图中,最多只有 $2$ 条边(在 $6$ 条可能的边中),则称该配对是合法的。
请注意,诱导子图指的是仅包含该节点集合中的节点,以及两端都在该集合内的边的子图。
现在,请完成以下两种操作之一:
- 找出一条包含至少 $ \lceil \frac{n}{2} \rceil $ 个节点的简单路径。这里的简单路径指的是不会重复经过任何节点的路径。
- 找出一个合法配对,使得至少有 $ \lceil \frac{n}{2} \rceil $ 个节点被配对。
可以证明,对于满足题目条件的任意图,至少可以完成上述两种操作之一。
输入格式
每个测试点包含多个测试用例。第一行包含一个整数 $t$($1 \le t \le 10^5$),表示测试用例的数量。接下来是每个测试用例的描述。
每个测试用例的第一行包含两个整数 $n, m$($2 \le n \le 5 \cdot 10^5$,$1 \le m \le 10^6$),分别表示节点数和边数。
接下来的 $m$ 行,每行包含两个整数 $u$ 和 $v$($1 \le u, v \le n$,$u \neq v$),表示在节点 $u$ 和 $v$ 之间有一条无向边。
保证给定的图是连通且简单的——不存在同一对节点之间有多条边,也没有自环。
保证所有测试用例中 $n$ 的总和不超过 $5 \cdot 10^5$。
保证所有测试用例中 $m$ 的总和不超过 $10^6$。
输出格式
对于每个测试用例,输出格式如下:
如果你找到了一个配对,第一行输出 "PAIRING"(不带引号)。
- 然后输出一个整数 $k$($ \lceil \frac{n}{2} \rceil \le 2k \le n $),表示配对的对数。
- 接下来 $k$ 行,每行输出两个整数 $a$ 和 $b$,表示 $a$ 和 $b$ 被配对。注意,图中不要求 $a$ 和 $b$ 之间有边!
- 该配对必须是合法的,且每个节点最多只能属于一个配对。
否则,第一行输出 "PATH"(不带引号)。
- 然后输出一个整数 $k$($ \lceil \frac{n}{2} \rceil \le k \le n $),表示路径上的节点数。
- 第二行输出 $k$ 个整数 $v_1, v_2, \ldots, v_k$,表示路径上节点的顺序。对于每个 $i$($1 \le i < k$),$v_i$ 和 $v_{i+1}$ 之间有边。
- 该路径必须是简单路径,即每个节点最多出现一次。
说明/提示
第一种情况下输出的路径如下图所示。

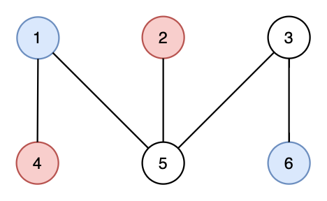
第二种情况下输出的配对如下图所示。

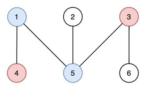
以下是对同一张图的一个不合法配对——诱导子图 $\{1,3,4,5\}$ 有 $3$ 条边。

第三种情况下输出的配对如下图所示。

这是合法的,因为——
- 诱导子图 $\{1,8,2,5\}$ 有边 $(1,2)$ 和 $(1,5)$。
- 诱导子图 $\{1,8,4,10\}$ 有边 $(1,4)$ 和 $(4,10)$。
- 诱导子图 $\{4,10,2,5\}$ 有边 $(2,4)$ 和 $(4,10)$。
第四种情况下输出的配对如下图所示。

由 ChatGPT 4.1 翻译