CF1433G Reducing Delivery Cost
题目描述
你是 Berlyatov 的市长。该城市有 $n$ 个区和 $m$ 条双向道路,第 $i$ 条道路连接区 $x_i$ 和区 $y_i$,该道路的通行费用为 $w_i$。任意两个区之间都存在一条路径,因此整个城市是连通的。
Berlyatov 有 $k$ 条快递路线。第 $i$ 条路线从区 $a_i$ 送到区 $b_i$。每条路线有一名快递员,快递员总是选择从 $a_i$ 到 $b_i$ 的最便宜(总费用最小)的路径来送货。
路线可以从某个区到自身,不同快递员的路线可能重合(需要分别计算)。
你可以将至多一条道路的费用变为 $0$(即你可以选择至多一条道路,将其费用改为 $0$)。
设 $d(x, y)$ 表示从区 $x$ 到区 $y$ 的最小通行费用。
你的任务是,若你可以最优地选择一条道路并将其费用变为 $0$,求所有快递路线的总费用最小值,即最小化 $ \sum\limits_{i = 1}^{k} d(a_i, b_i) $。
输入格式
输入的第一行包含三个整数 $n$、$m$ 和 $k$($2 \le n \le 1000$;$n - 1 \le m \le \min(1000, \frac{n(n-1)}{2})$;$1 \le k \le 1000$),分别表示区的数量、道路的数量和快递路线的数量。
接下来的 $m$ 行描述道路。第 $i$ 行包含三个整数 $x_i$、$y_i$ 和 $w_i$($1 \le x_i, y_i \le n$;$x_i \ne y_i$;$1 \le w_i \le 1000$),表示第 $i$ 条道路连接区 $x_i$ 和区 $y_i$,通行费用为 $w_i$。保证任意两个区之间都存在路径,整个城市连通。保证任意一对区之间至多有一条道路。
接下来的 $k$ 行描述快递路线。第 $i$ 行包含两个整数 $a_i$ 和 $b_i$($1 \le a_i, b_i \le n$),表示第 $i$ 条快递路线从区 $a_i$ 到区 $b_i$。路线可以从某区到自身,不同快递员的路线可能重合(需要分别计算)。
输出格式
输出一个整数,表示在最优地选择一条道路并将其费用变为 $0$ 后,所有快递路线的总费用的最小值(即 $ \sum\limits_{i=1}^{k} d(a_i, b_i) $ 的最小值,其中 $d(x, y)$ 表示从区 $x$ 到区 $y$ 的最小通行费用)。
说明/提示
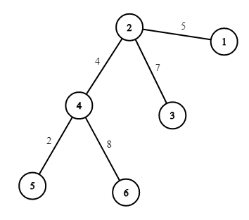
第一个样例对应的图如下:

在该图中,你可以选择道路 $(2, 4)$ 或 $(4, 6)$,两种选择都能使总费用变为 $22$。
第二个样例对应的图如下:

在该图中,你可以选择道路 $(3, 4)$,这样总费用为 $13$。
由 ChatGPT 4.1 翻译