CF1472G Moving to the Capital
Description
There are $ n $ cities in Berland. The city numbered $ 1 $ is the capital. Some pairs of cities are connected by a one-way road of length 1.
Before the trip, Polycarp for each city found out the value of $ d_i $ — the shortest distance from the capital (the $ 1 $ -st city) to the $ i $ -th city.
Polycarp begins his journey in the city with number $ s $ and, being in the $ i $ -th city, chooses one of the following actions:
1. Travel from the $ i $ -th city to the $ j $ -th city if there is a road from the $ i $ -th city to the $ j $ -th and $ d_i < d_j $ ;
2. Travel from the $ i $ -th city to the $ j $ -th city if there is a road from the $ i $ -th city to the $ j $ -th and $ d_i \geq d_j $ ;
3. Stop traveling.
Since the government of Berland does not want all people to come to the capital, so Polycarp no more than once can take the second action from the list. in other words, he can perform the second action $ 0 $ or $ 1 $ time during his journey. Polycarp, on the other hand, wants to be as close to the capital as possible.
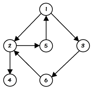
For example, if $ n = 6 $ and the cities are connected, as in the picture above, then Polycarp could have made the following travels (not all possible options):
- $ 2 \rightarrow 5 \rightarrow 1 \rightarrow 2 \rightarrow 5 $ ;
- $ 3 \rightarrow 6 \rightarrow 2 $ ;
- $ 1 \rightarrow 3 \rightarrow 6 \rightarrow 2 \rightarrow 5 $ .
Polycarp wants for each starting city $ i $ to find out how close he can get to the capital. More formally: he wants to find the minimal value of $ d_j $ that Polycarp can get from the city $ i $ to the city $ j $ according to the rules described above.
Input Format
The first line contains one integer $ t $ ( $ 1 \leq t \leq 10^4 $ ) — the number of test cases. Then $ t $ test cases follow.
Each test case is preceded by an empty line.
The first line of each test case contains two integers $ n $ ( $ 2 \leq n \leq 2 \cdot 10^5 $ ) and $ m $ ( $ 1 \leq m \leq 2 \cdot 10^5 $ ) — number of cities and roads, respectively.
This is followed by $ m $ lines describing the roads. Each road is characterized by two integers $ u $ and $ v $ ( $ 1 \leq u, v \leq n, u \ne v $ ) — the numbers of cities connected by a one-way road.
It is guaranteed that the sums of $ n $ and $ m $ over all test cases do not exceed $ 2 \cdot 10^5 $ .
It is guaranteed that for each pair of different cities $ (u, v) $ there is at most one road from $ u $ to $ v $ (but a pair of roads from $ u $ to $ v $ and from $ v $ to $ u $ — is valid).
It is guaranteed that there is a path from the capital to all cities.
Output Format
For each test case, on a separate line output $ n $ numbers, the $ i $ -th of which is equal to the minimum possible distance from the capital to the city where Polycarp ended his journey.