CF1494D Dogeforces
题目描述
Dogeforces 公司有 $k$ 名员工。除了基层员工外,每位员工至少有 $2$ 名下属。基层员工没有下属。除了公司负责人外,每位员工都有且仅有一位直属上司。公司负责人是所有员工的直接或间接上司。已知在 Dogeforces 公司中,每位上司的工资都严格高于其所有下属的工资。
公司的完整结构是保密的,但你知道基层员工的数量,并且对于每一对基层员工,已知他们的共同上司的工资(如果有多个这样的上司,则取工资最小的那位)。你需要还原公司的结构。
输入格式
第一行包含一个整数 $n$($2 \le n \le 500$),表示基层员工的数量。
接下来有 $n$ 行,每行包含 $n$ 个整数 $a_{i,1}, a_{i,2}, \dots, a_{i,n}$($1 \le a_{i,j} \le 5000$),表示编号为 $i$ 和 $j$ 的员工的共同上司的工资。保证 $a_{i,j} = a_{j,i}$。注意 $a_{i,i}$ 等于第 $i$ 个员工的工资。
输出格式
第一行输出一个整数 $k$,表示公司员工的总数。
第二行输出 $k$ 个整数 $c_1, c_2, \dots, c_k$,其中 $c_i$ 表示编号为 $i$ 的员工的工资。
第三行输出一个整数 $r$,表示公司的负责人编号。
接下来的 $k-1$ 行,每行输出两个整数 $v$ 和 $u$($1 \le v, u \le k$),表示编号为 $v$ 的员工的直属上司编号。
注意:基层员工的编号为 $1$ 到 $n$,其余员工的编号为 $n+1$ 到 $k$。如果有多种正确的公司结构,你可以输出其中任意一种。
说明/提示
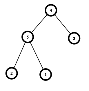
第一个样例的一种可能结构如下:
由 ChatGPT 4.1 翻译