CF1515G Phoenix and Odometers
题目描述
在 Fire City,有 $n$ 个路口和 $m$ 条单向道路。第 $i$ 条道路从路口 $a_i$ 通往 $b_i$,长度为 $l_i$ 英里。
有 $q$ 辆只能沿这些道路行驶的汽车。第 $i$ 辆车从路口 $v_i$ 出发,其里程表初始为 $s_i$,每行驶一英里增加 $1$,当达到 $t_i$ 时归零(重置为 $0$)。Phoenix 的任务是驾驶每辆车沿若干条道路(可以为零条)行驶,并回到其起始路口,使得里程表显示为 $0$。
对于每辆车,请判断是否存在这样的行驶方案。
一辆车可以多次经过同一条道路或路口。里程表在重置后会继续计数,因此可以被重置任意多次。
输入格式
输入的第一行包含两个整数 $n$ 和 $m$($2 \le n \le 2 \cdot 10^5$;$1 \le m \le 2 \cdot 10^5$),分别表示路口数和道路数。
接下来的 $m$ 行,每行包含三个整数 $a_i$、$b_i$ 和 $l_i$($1 \le a_i, b_i \le n$;$a_i \neq b_i$;$1 \le l_i \le 10^9$),表示第 $i$ 条道路的信息。图不一定连通。保证任意两个路口之间,每个方向最多只有一条道路。
接下来一行包含一个整数 $q$($1 \le q \le 2 \cdot 10^5$),表示汽车数量。
接下来的 $q$ 行,每行包含三个整数 $v_i$、$s_i$ 和 $t_i$($1 \le v_i \le n$;$0 \le s_i < t_i \le 10^9$),分别表示第 $i$ 辆车的起始路口、里程表初始数字和重置数字。
输出格式
输出 $q$ 行答案。如果第 $i$ 辆车可以通过行驶若干条道路(可以为零条)并回到起始路口 $v_i$,使得里程表显示为 $0$,则输出 YES,否则输出 NO。
说明/提示
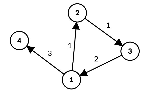
第一个样例的示意图如下:

对于第一个询问,Phoenix 可以按如下路线行驶:$1 \rightarrow 2 \rightarrow 3 \rightarrow 1 \rightarrow 2 \rightarrow 3 \rightarrow 1$。里程表会被重置 $3$ 次,但最后显示为 $0$。
对于第二个询问,可以证明没有办法让里程表归零并回到路口 $1$。
对于第三个询问,里程表本身已经是 $0$,无需行驶任何道路。
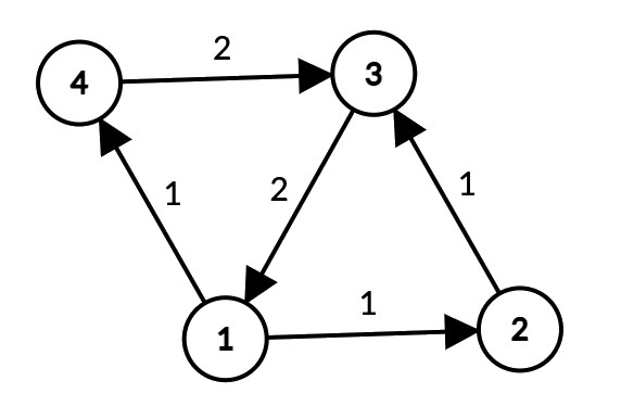
第二个样例的示意图如下:

由 ChatGPT 4.1 翻译