CF1527D MEX Tree
题目描述
给定一棵有 $n$ 个节点的树,节点编号从 $0$ 到 $n-1$。对于每个 $k$,$0 \leq k \leq n$,你需要统计有多少无序点对 $(u, v)$,$u \neq v$,使得从 $u$ 到 $v$ 的最短路径(包括端点)上所有节点编号的 MEX 等于 $k$。
一个整数序列的 MEX 是不属于该序列的最小非负整数。
输入格式
第一行包含一个整数 $t$($1 \leq t \leq 10^4$),表示测试用例的数量。
每个测试用例的第一行包含一个整数 $n$($2 \leq n \leq 2 \cdot 10^{5}$)。
接下来的 $n-1$ 行,每行包含两个整数 $u$ 和 $v$($0 \leq u,v \leq n-1$),表示树中的一条边($u \neq v$)。
保证给出的边构成一棵树。
保证所有测试用例中 $n$ 的总和不超过 $2 \cdot 10^{5}$。
输出格式
对于每个测试用例,输出 $n+1$ 个整数,第 $k$ 个整数表示树中所有路径的数量,使得该路径上所有节点编号的 MEX 等于 $k$,$k$ 从 $0$ 到 $n$。
说明/提示
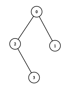
1. 对于样例 $1$,
- 当 $k=0$ 时,有 $1$ 条路径,即从 $2$ 到 $3$,因为 $MEX([2, 3]) = 0$。
- 当 $k=1$ 时,有 $2$ 条路径,分别是 $0$ 到 $2$($MEX([0, 2]) = 1$)和 $0$ 到 $3$($MEX([0, 2, 3]) = 1$)。
- 当 $k=2$ 时,有 $1$ 条路径,即 $0$ 到 $1$,因为 $MEX([0, 1]) = 2$。
- 当 $k=3$ 时,有 $1$ 条路径,即 $1$ 到 $2$,因为 $MEX([1, 0, 2]) = 3$。
- 当 $k=4$ 时,有 $1$ 条路径,即 $1$ 到 $3$,因为 $MEX([1, 0, 2, 3]) = 4$。
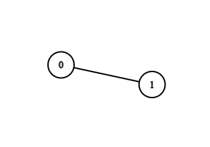
2. 对于样例 $2$,
- 当 $k=0$ 时,没有这样的路径。
- 当 $k=1$ 时,没有这样的路径。
- 当 $k=2$ 时,有 $1$ 条路径,即 $0$ 到 $1$,因为 $MEX([0, 1]) = 2$。
由 ChatGPT 4.1 翻译