CF1528E Mashtali and Hagh Trees
题目描述
今天是 Mashtali 的生日!他收到了 Haj Davood 送给他的一个 Hagh 树作为生日礼物!
一个有向树被称为 Hagh 树,当且仅当:
- 其最长有向路径的长度恰好为 $n$。
- 每个顶点无论边的方向如何,最多只能连接三条边。
- 若顶点 $u$ 和 $v$ 之间存在一条有向路径,则称 $u$ 和 $v$ 是朋友。对于任意一对不是朋友的顶点 $u$ 和 $v$,都存在一个顶点 $w$,使得 $w$ 同时是 $u$ 和 $v$ 的朋友(即 $w$ 与 $u$、$v$ 都有有向路径相连)。
打开礼物后,Mashtali 发现顶点上的标签都消失了。
他立刻思考:有多少种不同的无标号 Hagh 树?也就是说,他可能收到多少种不同的树作为生日礼物?
乍一看,这样的树似乎有无穷多种,因为顶点数没有限制;但他解决了这个问题,并证明无标号 Hagh 树的数量是有限的!
他为此感到惊奇,并把这个任务分享给你,希望你也能享受解题的乐趣。由于答案可能非常大,他要求你将不同无标号 Hagh 树的数量对 $998244353$ 取模后输出。
如果两棵树不是同构的(不存在一种方式可以将一棵树的节点映射到另一棵树的节点,使得边的连接关系和方向都被保留),则认为它们是不同的。
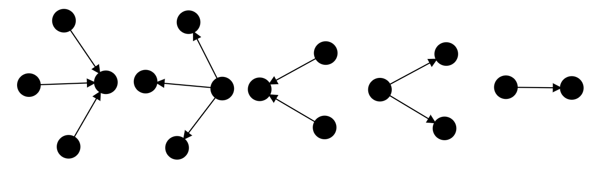
对于 $n=2$ 的一些例子:

有向树 $D$ 和 $E$ 是 Hagh 树。$C$ 不是 Hagh 树,因为它有一个顶点连接了 $4$ 条边。$A$ 和 $B$ 不是 Hagh 树,因为它们的最长有向路径长度不等于 $n$。此外,在 $B$ 中,最左和最右的顶点既不是朋友,也没有共同的朋友。
输入格式
输入的第一行包含一个整数 $n$,$1 \le n \le 10^6$。
输出格式
输出一个整数,表示 Mashtali 的问题的答案,对 $998244353$ 取模。
说明/提示
对于 $n=1$ 的所有五种 Hagh 树:

由 ChatGPT 4.1 翻译