CF1547G How Many Paths?
题目描述
给定一个有向图 $G$,该图可能包含自环(即从某个顶点指向自身的边)。图中不存在重边,即对于所有有序对 $(u, v)$,从 $u$ 到 $v$ 最多只有一条边。顶点编号为 $1$ 到 $n$。
从 $u$ 到 $v$ 的一条路径定义为一系列边,满足:
- 顶点 $u$ 是路径中第一条边的起点;
- 顶点 $v$ 是路径中最后一条边的终点;
- 对于所有相邻的两条边,后一条边的起点等于前一条边的终点。
我们约定,空的边序列也是从 $u$ 到 $u$ 的一条路径。
对于每个顶点 $v$,输出以下四种值之一:
- $0$,如果不存在从 $1$ 到 $v$ 的路径;
- $1$,如果从 $1$ 到 $v$ 只有一条路径;
- $2$,如果从 $1$ 到 $v$ 有多条路径且路径数是有限的;
- $-1$,如果从 $1$ 到 $v$ 的路径数是无限的。
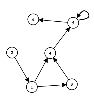
请参考下图中的示例:

则:
- 顶点 $1$ 的答案为 $1$:只有一条从 $1$ 到 $1$ 的路径(长度为 $0$ 的路径);
- 顶点 $2$ 的答案为 $0$:不存在从 $1$ 到 $2$ 的路径;
- 顶点 $3$ 的答案为 $1$:只有一条从 $1$ 到 $3$ 的路径(即边 $(1, 3)$);
- 顶点 $4$ 的答案为 $2$:从 $1$ 到 $4$ 有多条路径且数量有限(两条路径:$[(1, 3), (3, 4)]$ 和 $[(1, 4)]$);
- 顶点 $5$ 的答案为 $-1$:从 $1$ 到 $5$ 的路径数是无限的(可以多次经过环);
- 顶点 $6$ 的答案为 $-1$:从 $1$ 到 $6$ 的路径数是无限的(可以多次经过环)。
输入格式
第一行为一个整数 $t$($1 \le t \le 10^4$),表示测试用例的数量。接下来是 $t$ 组测试用例。每组测试用例前有一个空行。
每组测试用例的第一行为两个整数 $n$ 和 $m$($1 \le n \le 4 \cdot 10^5, 0 \le m \le 4 \cdot 10^5$),分别表示图的顶点数和边数。接下来的 $m$ 行,每行包含两个整数 $a_i$ 和 $b_i$($1 \le a_i, b_i \le n$),表示第 $i$ 条边的起点和终点。顶点编号为 $1$ 到 $n$。图中可能存在自环(即 $a_i = b_i$),但不存在重边(即不存在 $a_i = a_j$ 且 $b_i = b_j$ 且 $i \ne j$)。
所有测试用例中 $n$ 的总和不超过 $4 \cdot 10^5$,$m$ 的总和也不超过 $4 \cdot 10^5$。
输出格式
输出 $t$ 行,第 $i$ 行为第 $i$ 个测试用例的答案:$n$ 个整数,分别为 $-1$ 到 $2$ 之间的值。
说明/提示
由 ChatGPT 4.1 翻译