CF1606F Tree Queries
题目描述
给定一棵包含 $n$ 个顶点的树。回忆一下,树是一种无向、连通且无环的图。给定的树以顶点 $1$ 作为根节点。
你需要处理 $q$ 个查询。每个查询给定树上的一个顶点 $v$ 和一个整数 $k$。
对于每个查询,你可以以任意顺序删除树上的任意顶点,但不能删除根节点和顶点 $v$。当一个顶点被删除时,它的所有子节点会变为它父节点的子节点。你需要通过合理删除顶点,使得 $c(v) - m \cdot k$ 的值最大(其中 $c(v)$ 表示最终顶点 $v$ 的子节点数,$m$ 表示你删除的顶点数)。请输出你能获得的最大值。
各个查询互不影响:你在处理某个查询时对树的修改不会影响其他查询。
输入格式
第一行包含一个整数 $n$($1 \le n \le 2 \cdot 10^5$),表示树的顶点数。
接下来 $n-1$ 行,每行包含两个整数 $x_i$ 和 $y_i$($1 \le x_i, y_i \le n$,$x_i \ne y_i$),表示第 $i$ 条边的两个端点。这些边构成一棵树。
接下来一行包含一个整数 $q$($1 \le q \le 2 \cdot 10^5$),表示查询的数量。
接下来 $q$ 行,每行包含两个整数 $v_j$ 和 $k_j$($1 \le v_j \le n$,$0 \le k_j \le 2 \cdot 10^5$),分别表示第 $j$ 个查询的参数。
输出格式
对于每个查询,输出一个整数,表示你能获得的最大 $c(v) - m \cdot k$ 的值。
说明/提示
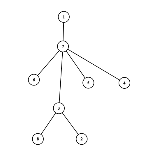
下图展示了第一个样例中的树结构:

各个查询的答案如下:
1. $v=1, k=0$:你可以删除顶点 $7$ 和 $3$,此时顶点 $1$ 有 $5$ 个子节点($2$、$4$、$5$、$6$、$8$),得分为 $5-2\cdot 0=5$;
2. $v=1, k=2$:你可以删除顶点 $7$,此时顶点 $1$ 有 $4$ 个子节点($3$、$4$、$5$、$6$),得分为 $4-1\cdot 2=2$;
3. $v=1, k=3$:你不应删除任何顶点,此时顶点 $1$ 只有一个子节点($7$),得分为 $1-0\cdot 3=1$;
4. $v=7, k=1$:你可以删除顶点 $3$,此时顶点 $7$ 有 $5$ 个子节点($2$、$4$、$5$、$6$、$8$),得分为 $5-1\cdot 1=4$;
5. $v=5, k=0$:无论如何操作,顶点 $5$ 都没有子节点,得分为 $0$;
6. $v=7, k=200000$:你不应删除任何顶点,此时顶点 $7$ 有 $4$ 个子节点($3$、$4$、$5$、$6$),得分为 $4-0\cdot 200000=4$。
由 ChatGPT 4.1 翻译