CF1610I Mashtali vs AtCoder
题目描述
在多次尝试未果后,Mashtali 决定抄袭并修改 [一道 AtCoder 题目](https://atcoder.jp/contests/agc017/tasks/agc017_d)。于是有了如下的新题目:
有一棵包含 $n$ 个顶点的树,其中有一些非空的顶点集合被“钉”在地面上。
两名玩家在树上轮流进行如下操作:
- 从树上删除一条边,然后移除所有不包含被钉顶点的连通块。无法进行操作(即所有边都已被删除)的玩家判负。
你将获得这棵树,但不会给出被钉顶点的集合。你的任务是,对于每个 $k$,判断如果只有顶点 $1, 2, 3, \ldots, k$ 被钉住,且双方都采取最优策略,谁会获胜。
输入格式
输入的第一行包含一个整数 $n$,表示顶点数($1 \le n \le 3 \cdot 10^5$)。
接下来的 $n-1$ 行中,第 $i$ 行包含两个整数 $u_i, v_i$($1 \le u_i, v_i \le n$,$u_i \ne v_i$),表示第 $i$ 条边连接的两个顶点。保证这些边构成一棵树。
输出格式
输出一个长度为 $n$ 的字符串。第 $i$ 个字符为 '1' 表示在第 $i$ 种情况下先手必胜,为 '2' 表示后手必胜。
说明/提示
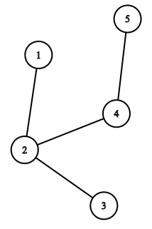
下图展示了第一个样例中的树:

如果 $k = 1$,那么先手可以切断边 $(1, 2)$。
如果 $k = 2$ 或 $k = 3$,先手可以切断边 $(2, 4)$,此后只剩下边 $(1, 2)$ 和 $(2, 3)$。在后手操作后,先手还能切断最后一条边。因此先手获胜。
由 ChatGPT 4.1 翻译