CF1646D Weight the Tree
题目描述
给定一棵有 $n$ 个顶点的树,顶点编号为 $1$ 到 $n$。树是一个无环连通无向图。
对于每个 $i=1,2,\ldots,n$,设 $w_i$ 为第 $i$ 个顶点的权值。如果某个顶点的权值等于其所有相邻顶点权值之和,则称该顶点为“好顶点”。
初始时所有顶点的权值未被分配。请为树中的每个顶点分配一个正整数权值,使得树中“好顶点”的数量最大。如果有多种分配方式,请找到权值和最小的一种。
输入格式
第一行包含一个整数 $n$($2\le n\le 2\cdot 10^5$),表示树的顶点数。
接下来 $n-1$ 行,每行包含两个整数 $u$ 和 $v$($1\le u,v\le n$),表示顶点 $u$ 和顶点 $v$ 之间有一条边。保证这些边构成一棵树。
输出格式
第一行输出两个整数,分别表示“好顶点”的最大数量以及在此基础上所有顶点权值和的最小值。
第二行输出 $n$ 个整数 $w_1,w_2,\ldots,w_n$($1\le w_i\le 10^9$),表示为每个顶点分配的权值。可以证明一定存在满足条件的最优解。
如果有多种最优解,可以输出任意一种。
说明/提示
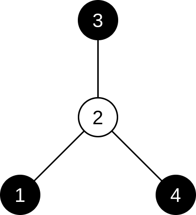
以下是第一个测试用例对应的树结构:

在这种情况下,如果给每个顶点都分配权值 $1$,则“好顶点”(黑色标记的顶点)为 $1$、$3$ 和 $4$。无法分配权值使得所有顶点都是“好顶点”。此时权值和为 $1+1+1+1=4$,且无法更小,因为权值必须为正整数。
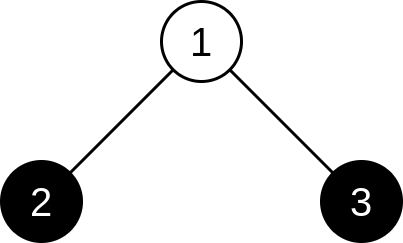
以下是第二个测试用例对应的树结构:

在这种情况下,如果给每个顶点都分配权值 $1$,则“好顶点”(黑色标记的顶点)为 $2$ 和 $3$。可以证明这是最优分配方式。
由 ChatGPT 4.1 翻译