CF1654G Snowy Mountain
题目描述
在一座雪山山脉上有 $n$ 个地点(编号为 $1$ 到 $n$),通过 $n-1$ 条小径连通,整体构成一棵树。每条小径长度为 $1$。其中一些地点是“基地小屋”。每个地点的高度 $h_i$ 定义为该地点到最近的基地小屋的距离(基地小屋的高度为 $0$)。
每个地点上都有一名滑雪者,初始动能为 $0$。每位滑雪者希望沿着尽可能多的小径滑行。假设滑雪者正沿着从地点 $i$ 到地点 $j$ 的小径滑行。滑雪者不允许上坡滑行(即 $h_i < h_j$ 时不可滑行)。如果是平地滑行(即 $h_i = h_j$),则消耗 $1$ 单位动能;如果是下坡滑行(即 $h_i > h_j$),则获得 $1$ 单位动能。对于每个地点,计算从该地点出发,滑雪者在动能始终不为负的前提下,最多能连续滑行的小径数。滑雪者可以多次经过同一地点或小径。
输入格式
第一行包含一个整数 $n$($2 \le n \le 2 \cdot 10^5$)。
第二行包含 $n$ 个整数 $l_1, l_2, \ldots, l_n$($0 \le l_i \le 1$)。如果 $l_i = 1$,则地点 $i$ 是基地小屋;如果 $l_i = 0$,则地点 $i$ 不是基地小屋。保证至少有一个基地小屋。
接下来的 $n-1$ 行,每行包含两个整数 $u, v$($1 \leq u, v \leq n$,$u \neq v$),表示有一条小径连接地点 $u$ 和 $v$。保证这些小径构成一棵树。
输出格式
输出 $n$ 个整数,第 $i$ 个整数表示从地点 $i$ 出发,滑雪者在动能始终不为负的前提下,最多能连续滑行的小径数。
说明/提示
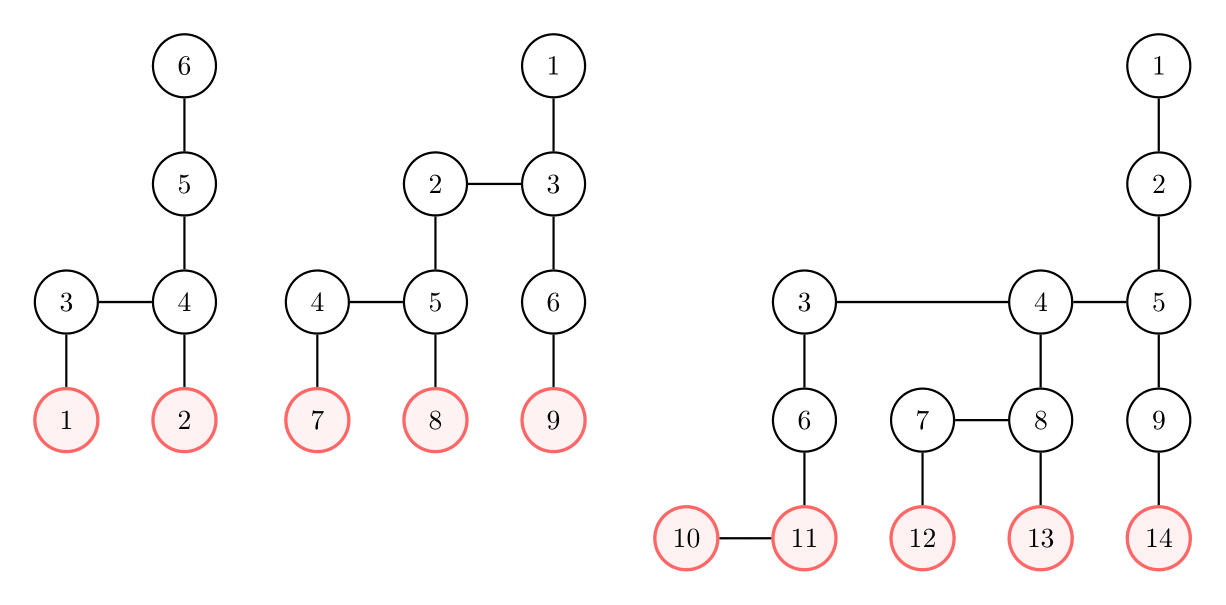
在第一个测试中,$h = [0, 0, 1, 1, 2, 3]$。从 $6$ 号地点出发的滑雪者最多可以滑行 $5$ 条小径,路径为 $6 \rightarrow 5 \rightarrow 4 \rightarrow 3 \rightarrow 4 \rightarrow 2$(注意滑雪者可以多次经过同一小径或地点):
- 在 $6$ 号地点,动能为 $0$;
- 到 $5$ 号地点,下坡,动能增加 $1$(因为 $h_5 < h_6$),变为 $1$;
- 到 $4$ 号地点,下坡,动能增加 $1$(因为 $h_4 < h_5$),变为 $2$;
- 到 $3$ 号地点,平地,动能减少 $1$(因为 $h_3 = h_4$),变为 $1$;
- 回到 $4$ 号地点,平地,动能减少 $1$(因为 $h_4 = h_3$),变为 $0$;
- 到 $2$ 号地点,下坡,动能增加 $1$(因为 $h_2 < h_4$),变为 $1$。
不存在任何长度大于 $5$ 的小径序列能保证动能始终不为负。
此外,
- 从 $1$ 号地点出发的最优路径为 $1$(不滑行);
- 从 $2$ 号地点出发的最优路径为 $2$(不滑行);
- 从 $3$ 号地点出发的最优路径为 $3 \rightarrow 1$;
- 从 $4$ 号地点出发的最优路径为 $4 \rightarrow 2$;
- 从 $5$ 号地点出发的最优路径为 $5 \rightarrow 4 \rightarrow 3 \rightarrow 1$。
在第二个测试中,$h = [3, 2, 2, 1, 1, 1, 0, 0, 0]$。从 $1$ 号地点出发的滑雪者最多可以滑行 $5$ 条小径,路径为 $1 \rightarrow 3 \rightarrow 2 \rightarrow 5 \rightarrow 4 \rightarrow 7$。
- 在 $1$ 号地点,动能为 $0$;
- 到 $3$ 号地点,下坡,动能增加 $1$(因为 $h_3 < h_1$),变为 $1$;
- 到 $2$ 号地点,平地,动能减少 $1$(因为 $h_2 = h_3$),变为 $0$;
- 到 $5$ 号地点,下坡,动能增加 $1$(因为 $h_5 < h_2$),变为 $1$;
- 到 $4$ 号地点,平地,动能减少 $1$(因为 $h_4 = h_5$),变为 $0$;
- 到 $7$ 号地点,下坡,动能增加 $1$(因为 $h_7 < h_4$),变为 $1$。
不存在任何长度大于 $5$ 的小径序列能保证动能始终不为负。
在第三个测试中,从 $1$ 号顶点出发的最优路径为 $1 \rightarrow 2 \rightarrow 5 \rightarrow 4 \rightarrow 3 \rightarrow 6 \rightarrow 11 \rightarrow 10 \rightarrow 11$。
下图为前三个测试的示意图,红色为基地小屋:

由 ChatGPT 4.1 翻译