CF1682F MCMF?
题目描述
给定两个整数数组 $a$ 和 $b$($b_i \neq 0$ 且 $|b_i| \leq 10^9$)。数组 $a$ 已按非递减顺序排序。
定义子数组 $a[l:r]$ 的代价如下:
- 如果 $ \sum\limits_{j = l}^{r} b_j \neq 0 $,则该子数组的代价未定义。
- 否则:
- 构建一个二分图流网络,包含 $r-l+1$ 个顶点,编号为 $l$ 到 $r$,所有 $b_i0$ 的顶点在右侧。对于每一对 $i, j$ 满足 $l \leq i, j \leq r$,$b_i0$,从 $i$ 向 $j$ 连一条容量为无穷大、单位流量费用为 $|a_i-a_j|$ 的边。
- 再添加两个顶点:源点 $S$ 和汇点 $T$。
- 对于每个 $l \leq i \leq r$ 且 $b_i0$,从 $i$ 向 $T$ 连一条容量为 $|b_i|$、费用为 $0$ 的边。
- 子数组的代价定义为从 $S$ 到 $T$ 的最大流的最小费用。
你将会得到 $q$ 个询问,每个询问给出两个整数 $l$ 和 $r$。你需要计算每个询问对应的子数组 $a[l:r]$ 的代价,结果对 $10^9+7$ 取模。
如果你不了解最小费用最大流的含义,可以阅读[这里](https://en.wikipedia.org/wiki/Minimum-cost_flow_problem)。
输入格式
输入的第一行包含两个整数 $n$ 和 $q$($2 \leq n \leq 2\cdot 10^5, 1 \leq q \leq 2\cdot10^5$)——数组 $a$、$b$ 的长度和询问的数量。
第二行包含 $n$ 个整数 $a_1,a_2,\ldots,a_n$($0 \leq a_1 \leq a_2 \leq \ldots \leq a_n \leq 10^9$)——数组 $a$。保证 $a$ 已按非递减顺序排序。
第三行包含 $n$ 个整数 $b_1,b_2,\ldots,b_n$($-10^9\leq b_i \leq 10^9, b_i \neq 0$)——数组 $b$。
接下来 $q$ 行,每行包含两个整数 $l_i,r_i$($1\leq l_i \leq r_i \leq n$)。保证 $ \sum\limits_{j = l_i}^{r_i} b_j = 0 $。
输出格式
对于每个询问 $l_i, r_i$,输出子数组 $a[l_i:r_i]$ 的代价,对 $10^9+7$ 取模。
说明/提示
在第一个询问中,最大可能流量为 $1$,即从源点到 $2$,再从 $2$ 到 $3$,最后从 $3$ 到汇点,流量均为 $1$。流量的总代价为 $0 \cdot 1 + |2 - 4| \cdot 1 + 0 \cdot 1 = 2$。
在第二个询问中,最大可能流量仍为 $1$,即从源点到 $7$,$7$ 到 $6$,$6$ 到汇点,总代价为 $0 \cdot |10 - 10| \cdot 1 + 0 \cdot 1 = 0$。
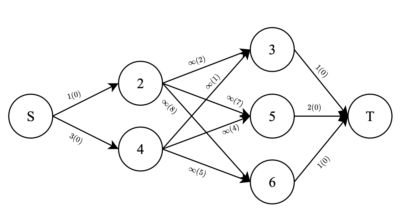
在第三个询问中,流网络如左图所示,边上标注了容量,括号内为费用。右图展示了最优流量分配。
 最大流量为 $3$,总代价为 $0 \cdot 3 + 1 \cdot 1 + 4 \cdot 2 + 0 \cdot 1 + 0 \cdot 2 = 9$。
在第四个询问中,流网络如下所示——

最小费用最大流的最优分配如下——

上述网络的最大流量为 $4$,最小费用为 $15$。
由 ChatGPT 4.1 翻译