CF1691F K-Set Tree
题目描述
给定一棵有 $n$ 个顶点的树 $G$ 和一个整数 $k$。树的顶点编号为 $1$ 到 $n$。
对于一个顶点 $r$ 和树中顶点的一个子集 $S$,其中 $|S| = k$,我们定义 $f(r, S)$ 为以 $r$ 为根时,包含 $S$ 中所有顶点的最小有根子树的大小。一个顶点集合 $T$ 被称为有根子树,当且仅当 $T$ 中所有顶点连通,且对于 $T$ 中的每个顶点,其所有后代也都属于 $T$。
你需要计算所有可能的不同顶点 $r$ 和子集 $S$($|S| = k$)的 $f(r, S)$ 之和。形式化地,计算如下表达式:
$$
\sum_{r \in V} \sum_{S \subseteq V, |S| = k} f(r, S)
$$
其中 $V$ 是树 $G$ 的顶点集合。
请将答案对 $10^9 + 7$ 取模后输出。
输入格式
第一行包含两个整数 $n$ 和 $k$($3 \le n \le 2 \cdot 10^5$,$1 \le k \le n$)。
接下来的 $n-1$ 行,每行包含两个整数 $x$ 和 $y$($1 \le x, y \le n$),表示顶点 $x$ 和 $y$ 之间有一条边。
保证给定的边构成一棵树。
输出格式
输出答案对 $10^9 + 7$ 取模后的结果。
说明/提示
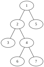
第二个样例中的树如下图所示:

在该树中,大小为 $2$ 的子集共有 $21$ 个,即
$$
S \in \left\{\{1, 2\}, \{1, 3\}, \{1, 4\}, \{1, 5\}, \{1, 6\}, \{1, 7\}, \{2, 3\}, \{2, 4\}, \{2, 5\}, \{2, 6\}, \{2, 7\}, \{3, 4\}, \{3, 5\}, \{3, 6\}, \{3, 7\}, \{4, 5\}, \{4, 6\}, \{4, 7\}, \{5, 6\}, \{5, 7\}, \{6, 7\} \right\}
$$
并且由于有 $7$ 个顶点,$1 \le r \le 7$。我们需要对所有可能的 $r$ 和 $S$ 组合,计算 $f(r, S)$ 的总和。
下面列出了一些 $r$ 和 $S$ 组合对应的 $f(r, S)$ 值:
- $r = 1$,$S = \{3, 7\}$。此时 $f(r, S) = 5$,对应的子树为 $\{2, 3, 4, 6, 7\}$。
- $r = 1$,$S = \{5, 4\}$。此时 $f(r, S) = 7$,对应的子树为 $\{1, 2, 3, 4, 5, 6, 7\}$。
- $r = 1$,$S = \{4, 6\}$。此时 $f(r, S) = 3$,对应的子树为 $\{4, 6, 7\}$。
由 ChatGPT 4.1 翻译