CF1710D Recover the Tree
题目描述
Rhodoks 有一棵包含 $n$ 个顶点的树,但他已经不记得这棵树的结构了。顶点编号从 $1$ 到 $n$。
如果区间 $[l, r]$($1 \leq l \leq r \leq n$)中的顶点 $l, l+1, \ldots, r$ 在 Rhodoks 的树中构成一个连通块,则称该区间是好的,否则称为坏的。
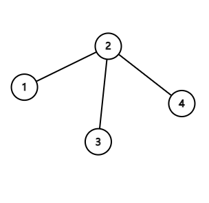
例如,如果树的结构如图所示,则只有区间 $[3,4]$ 是坏的,其余所有区间都是好的。

对于每一个 $\frac{n(n+1)}{2}$ 个区间,Rhodoks 都记得它是好还是坏。你能帮他还原这棵树吗?如果有多种方案,输出任意一种即可。
保证至少存在一棵树满足 Rhodoks 的描述。
输入格式
每个测试点包含多组测试数据。第一行包含一个整数 $t$($1 \leq t \leq 1000$),表示测试数据的组数。
每组测试数据的第一行包含一个整数 $n$($1 \leq n \leq 2000$),表示树的顶点数。
接下来 $n$ 行,每行一个长度为 $n+1-i$ 的字符串 $good_i$,仅包含 $0$ 和 $1$。如果区间 $[i, i+j-1]$ 是好区间,则 $good_i$ 的第 $j$ 个字符为 $1$,否则为 $0$。
保证至少存在一棵树与给定数据一致。
保证所有测试数据中 $n$ 的总和不超过 $2000$。
输出格式
对于每组测试数据,输出 $n-1$ 行,每行两个整数 $u_i$ 和 $v_i$($1 \leq u_i, v_i \leq n$),表示树中的一条边。
如果有多种方案,输出任意一种。
说明/提示
第一个测试点的解释见题面。
第二个测试点,一种可能的树结构如下:

第三个测试点,一种可能的树结构如下:

由 ChatGPT 4.1 翻译