CF1741D Masha and a Beautiful Tree
题目描述
Masha 在森林里散步时发现了一棵深度为 $n$ 的满二叉树,它有 $m = 2^n$ 个叶子结点,每个叶子节点上都有一个正整数 $p_i$。
Masha 希望交换一些子树之后可以使从左往右数的第 $i$ 个叶子结点上的正整数为 $i$(因为她觉得这样的一棵满二叉树很漂亮)。你需要帮她找到最少需要交换的次数。
输入格式
第一行,一个正整数 $t(1 \leq t \leq 10^4)$,表示数据组数。
每组输入由两行组成:
第一行是一个正整数 $m(1 \leq m \leq 262144)$,表示树的叶子结点的个数。
第二行,$m$ 个正整数,表示每个叶子节点上的正整数。
数据保证 $\sum m \leq 3 \times 10^5$,且 $m$ 一定为 $2$ 的整数幂。
输出格式
对于每一组数据,输出一个正整数,表示最小的交换次数,或者输出一个 $-1$——如果无论怎么交换都不能使从左往右数的第 $i$ 个叶子结点上的正整数为 $i$ 。
(Translated by @[owo_ImposterAnYu_owo](https://www.luogu.com.cn/user/510555))
说明/提示
Consider the first test.
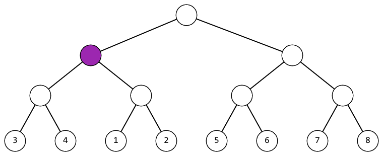
In the first test case, you can act like this (the vertex to which the operation is applied at the current step is highlighted in purple):
 It can be shown that it is impossible to make a tree beautiful in fewer operations.In the second test case, it can be shown that it is impossible to make a tree beautiful.
In the third test case, the tree is already beautiful.