CF1790F Timofey and Black-White Tree
题目描述
Timofey 来到著名的夏令营,发现了一棵有 $n$ 个点的树。树是一种无环连通无向图。
这棵树上,除了 $c_0$ 以外的所有点都是白色的。点 $c_0$ 是黑色的。
Timofey 想要把这棵树上的所有点都染成黑色。为此,他会进行 $n-1$ 次操作。在第 $i$ 次操作中,他选择当前为白色的点 $c_i$,并将其染成黑色。
我们定义树的“positivity”为所有不同黑色点对之间的最小距离。点 $v$ 和 $u$ 之间的距离是从 $v$ 到 $u$ 的路径上的边数。
每次操作后,Timofey 都想知道当前树的 positivity。
输入格式
第一行包含一个整数 $t$($1 \le t \le 10^4$),表示测试用例的数量。
每个测试用例的第一行包含两个整数 $n, c_0$($2 \le n \le 2 \cdot 10^5$,$1 \le c_0 \le n$),分别表示树的节点数和初始黑色节点的编号。
每个测试用例的第二行包含 $n-1$ 个互不相同的整数 $c_1, c_2, \dots, c_{n-1}$($1 \le c_i \le n$,$c_i \ne c_0$),其中 $c_i$ 表示第 $i$ 次操作中被染成黑色的节点编号。
接下来的 $n-1$ 行,每行包含两个整数 $v_i, u_i$($1 \le v_i, u_i \le n$),表示树中的一条边。
保证所有测试用例中 $n$ 的总和不超过 $2 \cdot 10^5$。
输出格式
对于每个测试用例,输出 $n-1$ 个整数,每个整数占一行。
第 $i$ 个整数表示前 $i$ 次操作后树的 positivity。
说明/提示
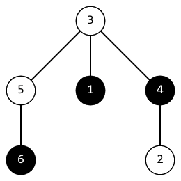
在第一个测试用例中,第二次操作后,树的结构如下:
点 $1$ 和 $6$ 之间的距离是 $3$,点 $4$ 和 $6$ 之间的距离是 $3$,点 $1$ 和 $4$ 之间的距离是 $2$。此时树的 positivity 等于这些距离的最小值,即 $2$。
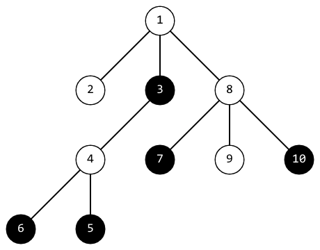
在第三个测试用例中,第四次操作后,树的结构如下:
此时树的 positivity 为 $2$。
由 ChatGPT 4.1 翻译