CF1856E1 PermuTree (easy version)
题目描述
这是该问题的简单版本。两个版本的区别在于 $n$ 的约束和时间限制。只有当你同时解决了两个版本的问题时,才能进行 hack。
给定一棵以 $1$ 号结点为根的 $n$ 个结点的树。
对于长度为 $n$ 的某个排列 $^\dagger$ $a$,定义 $f(a)$ 为满足 $a_u < a_{\operatorname{lca}(u, v)} < a_v$ 的结点对 $(u, v)$ 的数量。这里,$\operatorname{lca}(u,v)$ 表示结点 $u$ 和 $v$ 的最近公共祖先(lowest common ancestor)。
请你求出所有长度为 $n$ 的排列 $a$ 中,$f(a)$ 的最大可能值。
$^\dagger$ 长度为 $n$ 的排列是指由 $1$ 到 $n$ 的 $n$ 个不同整数组成的数组,顺序任意。例如,$[2,3,1,5,4]$ 是一个排列,但 $[1,2,2]$ 不是排列($2$ 在数组中出现了两次),$[1,3,4]$ 也不是排列($n=3$,但数组中有 $4$)。
输入格式
第一行包含一个整数 $n$($2 \le n \le 5000$)。
第二行包含 $n-1$ 个整数 $p_2,p_3,\ldots,p_n$($1 \le p_i < i$),表示存在一条连接结点 $i$ 和 $p_i$ 的边。
输出格式
输出 $f(a)$ 的最大值。
说明/提示
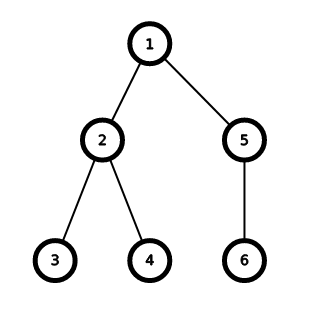
第一组测试中的树结构如下:

一种可能的最优排列 $a$ 为 $[2, 1, 4, 5, 3]$,此时有 $4$ 个满足条件的结点对:
- $(2, 3)$,因为 $\operatorname{lca}(2, 3) = 1$ 且 $1 < 2 < 4$;
- $(2, 4)$,因为 $\operatorname{lca}(2, 4) = 1$ 且 $1 < 2 < 5$;
- $(2, 5)$,因为 $\operatorname{lca}(2, 5) = 1$ 且 $1 < 2 < 3$;
- $(5, 4)$,因为 $\operatorname{lca}(5, 4) = 3$ 且 $3 < 4 < 5$。
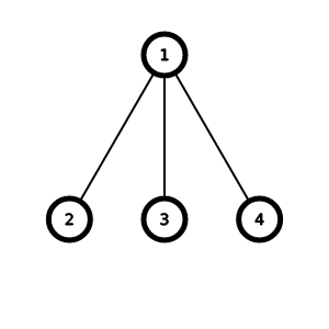
第三组测试中的树结构如下:

第四组测试中的树结构如下:

由 ChatGPT 4.1 翻译