CF1856E2 PermuTree (hard version)
Description
This is the hard version of the problem. The differences between the two versions are the constraint on $ n $ and the time limit. You can make hacks only if both versions of the problem are solved.
You are given a tree with $ n $ vertices rooted at vertex $ 1 $ .
For some permutation $ ^\dagger $ $ a $ of length $ n $ , let $ f(a) $ be the number of pairs of vertices $ (u, v) $ such that $ a_u < a_{\operatorname{lca}(u, v)} < a_v $ . Here, $ \operatorname{lca}(u,v) $ denotes the [lowest common ancestor](https://en.wikipedia.org/wiki/Lowest_common_ancestor) of vertices $ u $ and $ v $ .
Find the maximum possible value of $ f(a) $ over all permutations $ a $ of length $ n $ .
$ ^\dagger $ A permutation of length $ n $ is an array consisting of $ n $ distinct integers from $ 1 $ to $ n $ in arbitrary order. For example, $ [2,3,1,5,4] $ is a permutation, but $ [1,2,2] $ is not a permutation ( $ 2 $ appears twice in the array), and $ [1,3,4] $ is also not a permutation ( $ n=3 $ but there is $ 4 $ in the array).
Input Format
The first line contains a single integer $ n $ ( $ 2 \le n \le 10^6 $ ).
The second line contains $ n - 1 $ integers $ p_2,p_3,\ldots,p_n $ ( $ 1 \le p_i < i $ ) indicating that there is an edge between vertices $ i $ and $ p_i $ .
Output Format
Output the maximum value of $ f(a) $ .
Explanation/Hint
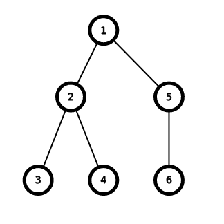
The tree in the first test:
One possible optimal permutation $ a $ is $ [2, 1, 4, 5, 3] $ with $ 4 $ suitable pairs of vertices:
- $ (2, 3) $ , since $ \operatorname{lca}(2, 3) = 1 $ and $ 1 < 2 < 4 $ ,
- $ (2, 4) $ , since $ \operatorname{lca}(2, 4) = 1 $ and $ 1 < 2 < 5 $ ,
- $ (2, 5) $ , since $ \operatorname{lca}(2, 5) = 1 $ and $ 1 < 2 < 3 $ ,
- $ (5, 4) $ , since $ \operatorname{lca}(5, 4) = 3 $ and $ 3 < 4 < 5 $ .
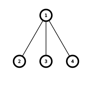
The tree in the third test:
The tree in the fourth test:
