CF1899F Alex's whims
Description
Tree is a connected graph without cycles. It can be shown that any tree of $ n $ vertices has exactly $ n - 1 $ edges.
Leaf is a vertex in the tree with exactly one edge connected to it.
Distance between two vertices $ u $ and $ v $ in a tree is the minimum number of edges that must be passed to come from vertex $ u $ to vertex $ v $ .
Alex's birthday is coming up, and Timofey would like to gift him a tree of $ n $ vertices. However, Alex is a very moody boy. Every day for $ q $ days, he will choose an integer, denoted by the integer chosen on the $ i $ -th day by $ d_i $ . If on the $ i $ -th day there are not two leaves in the tree at a distance exactly $ d_i $ , Alex will be disappointed.
Timofey decides to gift Alex a designer so that he can change his tree as he wants. Timofey knows that Alex is also lazy (a disaster, not a human being), so at the beginning of every day, he can perform no more than one operation of the following kind:
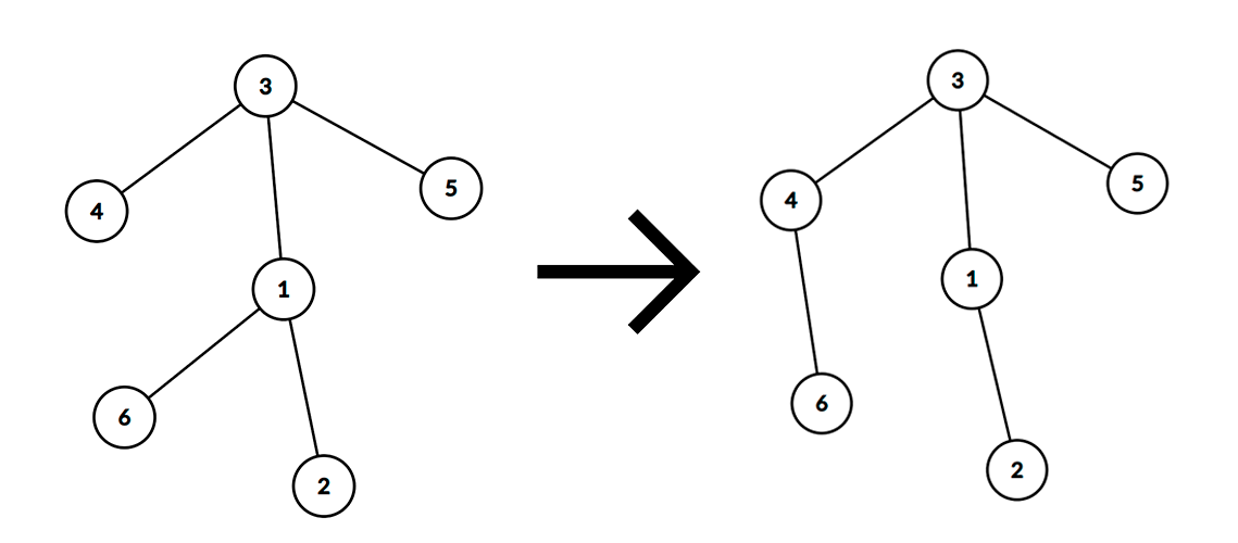
- Choose vertices $ u $ , $ v_1 $ , and $ v_2 $ such that there is an edge between $ u $ and $ v_1 $ and no edge between $ u $ and $ v_2 $ . Then remove the edge between $ u $ and $ v_1 $ and add an edge between $ u $ and $ v_2 $ . This operation cannot be performed if the graph is no longer a tree after it.
Somehow Timofey managed to find out all the $ d_i $ . After that, he had another brilliant idea — just in case, make an instruction manual for the set, one that Alex wouldn't be disappointed.
Timofey is not as lazy as Alex, but when he saw the integer $ n $ , he quickly lost the desire to develop the instruction and the original tree, so he assigned this task to you. It can be shown that a tree and a sequence of operations satisfying the described conditions always exist.

Here is an example of an operation where vertices were selected: $ u $ — $ 6 $ , $ v_1 $ — $ 1 $ , $ v_2 $ — $ 4 $ .
Input Format
The first line contains the integer $ t $ ( $ 1 \leq t \leq 100 $ ) — the number of test cases.
The first line of each test case contains two integers $ n $ ( $ 3 \leq n \leq 500 $ ) and $ q $ ( $ 1 \leq q \leq 500 $ ) — the number of nodes in the tree and the number of days, respectively.
The $ i $ th of the following $ q $ lines contains the integer $ d_i $ ( $ 2 \leq d_i \leq n - 1 $ ).
It is guaranteed that the sum of $ n $ over all test cases does not exceed $ 500 $ . The same is guaranteed for $ q $ .
It can be shown that a tree and a sequence of operations satisfying the described conditions always exist.
Output Format
For each test case, first print an $ n - 1 $ string describing the edges of the tree. If you want the tree to have an edge between nodes $ u $ and $ v $ , there must be a string $ v $ $ u $ or $ u $ $ v $ among these $ n - 1 $ lines.
In the next $ q $ lines, print three integers each $ u $ $ v_1 $ $ v_2 $ — a description of the operations. If Alex doesn't need to perform an operation the following day, print $ -1 $ $ -1 $ $ -1 $ .