CF1977E Tensor
题目描述
这是一个交互题。
你将得到一个整数 $n$。
评测机为你隐藏了一个有 $n$ 个顶点(编号为 $1$ 到 $n$)和若干条边的有向图。你还知道:
- 图中只包含形如 $i \leftarrow j$ 的边,其中 $1 \le i < j \le n$。
- 对于任意三个顶点 $1 \le i < j < k \le n$,至少满足以下条件之一$^\dagger$:
- 顶点 $i$ 可以从顶点 $j$ 到达,或
- 顶点 $i$ 可以从顶点 $k$ 到达,或
- 顶点 $j$ 可以从顶点 $k$ 到达。
你需要将每个顶点染成黑色或白色,使得对于任意两个同色的顶点 $i$ 和 $j$($1 \le i < j \le n$),顶点 $i$ 可以从顶点 $j$ 到达。
为此,你可以进行如下类型的询问:
- ? i j —— 顶点 $i$ 是否可以从顶点 $j$ 到达($1 \le i < j \le n$)?
请在最多 $2 \cdot n$ 次询问内,找到一种合法的顶点染色方案。可以证明,总是存在这样的染色方案。
注意,评测机不是自适应的:图在所有询问前就已确定。
$^\dagger$ 如果存在一条从顶点 $b$ 到顶点 $a$ 的路径,则称顶点 $a$ 可以从顶点 $b$ 到达。详见[路径](https://en.wikipedia.org/wiki/Path_(graph_theory))。
输入格式
每个测试包含多个测试用例。输入的第一行包含一个整数 $t$($1 \le t \le 1000$)——表示测试用例的数量。接下来是每个测试用例的描述。
每个测试用例的唯一一行包含一个整数 $n$($3 \le n \le 100$)——隐藏图的顶点数。
保证所有测试用例中 $n$ 的总和不超过 $1000$。
输出格式
每个测试用例的交互从读取整数 $n$ 开始。
每次询问时,输出 "? i j"(不带引号,$1 \le i < j \le n$)。如果顶点 $i$ 可以从顶点 $j$ 到达,你将收到 YES 作为回答,否则收到 NO。
如果你收到 $-1$ 作为回答或作为 $n$ 的值,说明你的程序进行了非法询问、超出了询问次数限制,或在上一个测试用例中给出了错误答案。你的程序必须立即终止,否则会收到 Wrong Answer 判定。否则,你的程序会继续读取已关闭流的数据,可能得到任意判定。
当你准备好给出最终答案时,输出 "! c_1\ c_2\ \ldots\ c_n"(不带引号)——表示每个顶点的颜色,其中 $c_i = 0$ 表示黑色,$c_i = 1$ 表示白色。所有测试用例结束后,程序应立即终止。
每次输出询问后,别忘了输出换行并刷新输出缓冲区,否则会收到 Idleness limit exceeded 判定。具体操作如下:
- C++:fflush(stdout) 或 cout.flush()
- Java:System.out.flush()
- Pascal:flush(output)
- Python:stdout.flush()
- 其它语言请查阅相关文档。
Hack 格式
Hack 时请使用如下格式:
第一行包含一个整数 $t$($1 \le t \le 1000$)——测试用例数量。
每个测试用例的第一行包含两个整数 $n$ 和 $m$($3 \le n \le 100$,$0 \le m \le \frac{n\cdot(n - 1)}{2}$)——图的顶点数和边数。
接下来的 $m$ 行,每行包含两个整数 $a$ 和 $b$($1 \le b < a \le n$),表示存在一条从 $a$ 到 $b$ 的有向边。图必须满足上述条件。
所有测试用例中 $n$ 的总和不超过 $1000$。
说明/提示
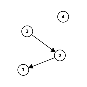
第一个测试用例中的隐藏图:

第二个测试用例中的隐藏图:

交互过程如下:
| Solution | Jury | Explanation |
|----------|------|-------------|
| 2 | | 有 $2$ 个测试用例。 |
| 4 | | 第一个测试用例,图有 $4$ 个顶点。 |
| ? 1 2 | YES | 询问顶点 $1$ 是否可以从顶点 $2$ 到达,评测机回答 YES。 |
| ? 2 3 | YES | 询问顶点 $2$ 是否可以从顶点 $3$ 到达,评测机回答 YES。 |
| ? 1 3 | YES | 询问顶点 $1$ 是否可以从顶点 $3$ 到达,评测机回答 YES。 |
| ? 1 4 | NO | 询问顶点 $1$ 是否可以从顶点 $4$ 到达,评测机回答 NO。 |
| ? 2 4 | NO | 询问顶点 $2$ 是否可以从顶点 $4$ 到达,评测机回答 NO。 |
| ? 3 4 | NO | 询问顶点 $3$ 是否可以从顶点 $4$ 到达,评测机回答 NO。 |
| ! 0 0 0 1| | 程序得出一种合法染色并输出。答案正确,进入下一个测试用例。 |
| 5 | | 第二个测试用例,图有 $5$ 个顶点。 |
| ! 1 1 0 1 0 | | 程序得出一种合法染色并输出。答案正确且没有更多测试用例,程序和评测机均退出。 |
注意,示例输入输出中的换行仅为便于阅读,实际交互中不会出现。
由 ChatGPT 4.1 翻译