CF1984E Shuffle
题目描述
两只饥饿的小熊猫 Oscar 和 Lura 有一棵包含 $n$ 个节点的树 $T$。它们打算对整棵树 $T$ 执行一次如下的洗牌操作。通过这个洗牌操作,它们会用原树的节点构造出一棵新树。
1. 从原树 $T$ 中任选一个节点 $V$,以 $V$ 作为根节点,创建一棵新树 $T_2$。
2. 将 $V$ 从 $T$ 中移除,此时原树会被分裂成一个或多个子树(如果 $V$ 是 $T$ 唯一的节点,则不会有子树)。
3. 对每棵子树重复上述操作(同样任选一个节点作为根),然后将所有洗牌后子树的根节点连接回 $V$,完成新树 $T_2$ 的构建。
经过上述操作后,Oscar 和 Lura 得到了一棵新树 $T_2$。它们只能吃叶子节点,而且非常饥饿,请你帮忙计算:在对整棵树恰好执行一次洗牌操作后,所能获得的最大叶子节点数是多少。
注意,叶子节点指的是度为 $1$ 的所有节点。因此,如果根节点只有一个子节点,也可以被视为叶子节点。
输入格式
第一行包含一个整数 $t$($1 \leq t \leq 10^4$),表示测试用例的数量。
每个测试用例的第一行包含一个整数 $n$($2 \leq n \leq 2 \times 10^5$),表示原树 $T$ 的节点数。
接下来的 $n-1$ 行,每行包含两个整数 $u$ 和 $v$($1 \leq u, v \leq n$),表示原树 $T$ 中的一条边。所给边集保证构成一棵树。
所有测试用例中 $n$ 的总和不超过 $3 \times 10^5$。
输出格式
对于每个测试用例,输出一个整数,表示经过一次洗牌操作后,所能获得的最大叶子节点数。
说明/提示
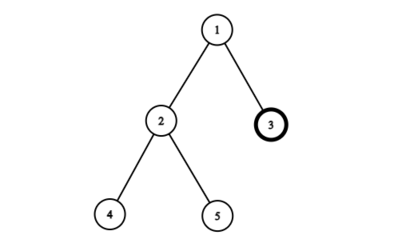
在第一个测试用例中,可以证明最大叶子节点数为 $4$。实现方法如下:首先选择节点 $3$ 作为新树的根节点。

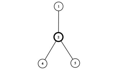
接下来只剩下一个子树,我们可以选择节点 $2$ 作为该子树的新根。

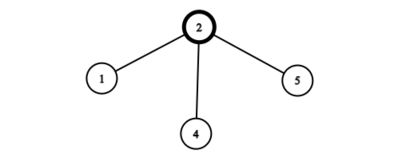
这样会使剩下的 $3$ 个节点都变成叶子节点,将它们连接回新根后,洗牌后的子树如下:

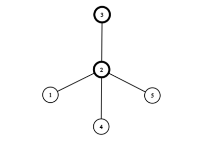
最后将洗牌后的子树连接回新树的根节点,最终树有 $4$ 个叶子节点(包括根节点),如下所示:

在第二个测试用例中,原树是一条包含五个节点的链。可以证明经过一次洗牌后,最大叶子节点数为 $3$。我们可以先选择节点 $2$ 作为根节点,这样节点 $1$ 会变成叶子节点。然后在右侧选择节点 $4$,这样节点 $3$ 和 $5$ 也会变成叶子节点。
第三个测试用例是一颗有六个节点的星形树。叶子节点数无法增加,因此答案为 $5$(如果我们以原根节点开始洗牌)。
由 ChatGPT 4.1 翻译