CF1987E Wonderful Tree!
题目描述
神赐福于这个 ArrayForces!
一个随机的鹅卵石
给定一棵有 $n$ 个结点的树,根节点为 $1$。第 $i$ 个结点上写有一个整数 $a_i$。
设 $L$ 为结点 $v$ 的所有直接子节点的集合。若对于所有 $L$ 非空的结点 $v$,都有 $a_v \le \sum_{u \in L} a_u$,则称这棵树是“美妙的”。每次操作,你可以选择任意一个结点 $v$,将 $a_v$ 增加 $1$。
请你求出最少需要多少次操作,才能使给定的树变为美妙的。
$^{\text{∗}}$ 结点 $u$ 被称为结点 $v$ 的直接子节点,当且仅当:
- $u$ 和 $v$ 之间有一条边,并且
- $v$ 在从 $u$ 到树根的唯一路径上。
输入格式
每组测试数据包含多组测试用例。输入的第一行包含一个整数 $t$($1 \le t \le 1000$),表示测试用例的数量。
每组测试用例的第一行包含一个整数 $n$($2 \le n \le 5000$),表示树的结点数。
第二行包含 $n$ 个整数 $a_1, a_2, \ldots, a_n$($0 \le a_i \le 10^9$),表示每个结点初始时写的值。
第三行包含 $n-1$ 个整数 $p_2, p_3, \ldots, p_n$($1 \le p_i < i$),表示存在一条从结点 $p_i$ 到结点 $i$ 的边。保证给定的边能够构成一棵树。
保证所有测试用例中 $n$ 的总和不超过 $5000$。
输出格式
对于每组测试用例,输出一个整数,表示将树变为美妙的最少操作次数。
说明/提示
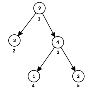
第一个测试用例中的树结构如下:

你可以对结点 $5$ 操作一次,对结点 $2$ 操作两次,使得树变为美妙的。
在第二个测试用例中,你可以对结点 $2$ 操作两次,使得树变为美妙的。
在第三和第四个测试用例中,树本身已经是美妙的,因此不需要进行任何操作。
由 ChatGPT 4.1 翻译