CF1994D Funny Game
Description
Vanya has a graph with $ n $ vertices (numbered from $ 1 $ to $ n $ ) and an array $ a $ of $ n $ integers; initially, there are no edges in the graph. Vanya got bored, and to have fun, he decided to perform $ n - 1 $ operations.
Operation number $ x $ (operations are numbered in order starting from $ 1 $ ) is as follows:
- Choose $ 2 $ different numbers $ 1 \leq u,v \leq n $ , such that $ |a_u - a_v| $ is divisible by $ x $ .
- Add an undirected edge between vertices $ u $ and $ v $ to the graph.
Help Vanya get a connected $ ^{\text{∗}} $ graph using the $ n - 1 $ operations, or determine that it is impossible.
$ ^{\text{∗}} $ A graph is called connected if it is possible to reach any vertex from any other by moving along the edges.
Input Format
Each test consists of multiple test cases. The first line contains an integer $ t $ ( $ 1 \le t \le 10^{3} $ ) — the number of test cases. Then follows the description of the test cases.
The first line of each test case contains the number $ n $ ( $ 1 \leq n \leq 2000 $ ) — the number of vertices in the graph.
The second line of each test case contains $ n $ numbers $ a_1, a_2, \cdots a_n $ ( $ 1 \leq a_i \leq 10^9 $ ).
It is guaranteed that the sum of $ n $ over all test cases does not exceed $ 2000 $ .
Output Format
For each test case, if there is no solution, then output "No" (without quotes).
Otherwise, output "Yes" (without quotes), and then output $ n - 1 $ lines, where in the $ i $ -th line, output the numbers $ u $ and $ v $ that need to be chosen for operation $ i $ .
You can output each letter in any case (for example, the strings "yEs", "yes", "Yes", and "YES" will be recognized as a positive answer).
Explanation/Hint
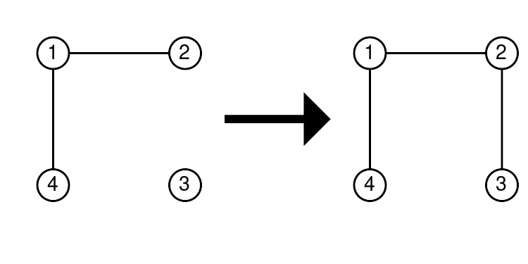
Let's consider the second test case.
- First operation $ (x = 1) $ : we can connect vertices $ 4 $ and $ 1 $ , since $ |a_4 - a_1| = |13 - 99| = |-86| = 86 $ , and $ 86 $ is divisible by $ 1 $ .
- Second operation $ (x = 2) $ : we can connect vertices $ 2 $ and $ 1 $ , since $ |a_2 - a_1| = |7 - 99| = |-92| = 92 $ , and $ 92 $ is divisible by $ 2 $ .
- Third operation $ (x = 3) $ : we can connect vertices $ 3 $ and $ 2 $ , since $ |a_3 - a_2| = |1 - 7| = |-6| = 6 $ , and $ 6 $ is divisible by $ 3 $ .
 From the picture, it can be seen that a connected graph is obtained.