CF2032D Genokraken
题目描述
这是一个交互题。
在清理了水边区域后,Gretel 发现了一只名为 Genokraken 的怪物,并将其控制起来以进行科学研究。
该怪物的神经系统可以被描述为一棵有 $n$ 个节点的树 $^{\dagger}$(说真的,为什么什么都像树……),节点编号为 $0$ 到 $n-1$,其中 $0$ 号节点为根节点。
Gretel 的目标是弄清楚怪物神经系统的精确结构——更具体地说,她想知道这棵树的 $p_1, p_2, \ldots, p_{n-1}$ 的值,其中 $p_i$($0 \le p_i < i$)表示节点 $i$ 的直接父节点($1 \le i \le n-1$)。
她并不知道节点的具体分布,但她知道以下几个方便的事实:
- 如果我们移除根节点 $0$ 及其所有相邻的边,这棵树会变成一个仅由若干条路径 $^{\ddagger}$ 组成的森林。每个最初与节点 $0$ 相邻的节点将会成为某条路径的端点。
- 节点的编号方式满足:如果 $1 \le x \le y \le n-1$,则 $p_x \le p_y$。
- 节点 $1$ 恰好有两个相邻节点(包括节点 $0$)。



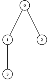
上图中的树不满足条件,因为如果移除节点 $0$,那么节点 $2$(最初与节点 $0$ 相邻)不会成为路径 $4-2-5$ 的端点。
上图中的树不满足条件,因为必须满足 $p_3 \le p_4$。
上图中的树不满足条件,因为节点 $1$ 只有一个相邻节点。
Gretel 可以向控制室发起如下查询:
- "? a b"($1 \le a, b < n$,$a \ne b$)——控制室会检查节点 $a$ 和 $b$ 之间的简单路径是否经过节点 $0$。
但为了避免过度刺激生物带来不可预知的后果,Gretel 最多只能查询 $2n-6$ 次。虽然 Gretel 很聪明,但她也不能一次做完所有事情,所以你能帮她一把吗?
$^{\dagger}$ 一棵树是一个连通图,且任意两个不同的节点之间恰好有一条简单路径。
$^{\ddagger}$ 一条路径是一棵树,其顶点可以按顺序列为 $v_1, v_2, \ldots, v_k$,边为 $(v_i, v_{i+1})$($1 \le i < k$)。
输入格式
每组测试包含多个测试用例。第一行包含一个整数 $t$($1 \le t \le 500$)——测试用例的数量。接下来是每个测试用例的描述。
每个测试用例的第一行包含一个整数 $n$($4 \le n \le 10^4$)——Genokraken 神经系统的节点数。
保证所有测试用例中 $n$ 的总和不超过 $10^4$。
输出格式
对于每个测试用例,交互从读取整数 $n$ 开始。
然后你可以进行如下类型的查询:
- "? a b"(不带引号)($1 \le a, b < n$,$a \ne b$)。
每次查询后,读取一个整数 $r$——这是你查询的答案。你最多可以进行 $2n-6$ 次此类查询。
- 如果节点 $a$ 和 $b$ 之间的简单路径不经过节点 $0$,则 $r=0$。
- 如果节点 $a$ 和 $b$ 之间的简单路径经过节点 $0$,则 $r=1$。
- 如果你进行了超过 $2n-6$ 次查询或查询不合法,则会得到 $r=-1$。此时你需要立即终止程序,否则会得到“Wrong answer”判定。否则,你的程序会继续从已关闭的流中读取,结果不可预期。
当你确定结构后,输出一行,格式为 "! $p_1\ p_2\ \ldots\ p_{n-1}$"(不带引号),其中 $p_i$($0 \le p_i < i$)表示节点 $i$ 的直接父节点的编号。此输出不计入 $2n-6$ 次查询限制。
每解决一个测试用例,程序应立即进入下一个测试用例。所有测试用例解决完毕后,程序应立即终止。
每次输出查询后不要忘记输出换行并刷新输出缓冲区,否则会因“Idleness limit exceeded”而判题失败。可使用如下方法刷新输出缓冲区:
- C++:fflush(stdout) 或 cout.flush()
- Java:System.out.flush()
- Pascal:flush(output)
- Python:stdout.flush()
- 其它语言请查阅相关文档。
交互器是非自适应的。树的结构在交互过程中不会改变。
Hack 格式
Hack 时请使用如下格式:
第一行包含一个整数 $t$($1 \le t \le 500$)——测试用例数量。接下来是每个测试用例的描述。
每个测试用例的第一行包含一个整数 $n$($4 \le n \le 10^4$)——Genokraken 神经系统的节点数。
每个测试用例的第二行包含 $n-1$ 个整数 $p_1, p_2, \ldots, p_{n-1}$($0 \le p_1 \le p_2 \le \ldots \le p_{n-1} \le n-2$,$0 \le p_i < i$)——分别表示节点 $1, 2, \ldots, n-1$ 的直接父节点编号。
每个测试用例中的 $p_1, p_2, \ldots, p_{n-1}$ 必须保证:
- 如果移除根节点 $0$ 及其所有相邻的边,这棵树会变成仅由若干条路径组成的森林。每个最初与节点 $0$ 相邻的节点将会成为某条路径的端点。
- 节点 $1$ 恰好有两个相邻节点(包括节点 $0$)。
所有测试用例中 $n$ 的总和不超过 $10^4$。
说明/提示
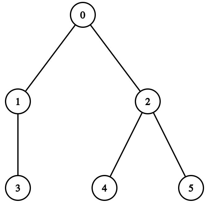
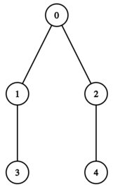
在第一个测试用例中,Genokraken 的神经系统形成如下树:

- 对于 "? 2 3" 的答案是 $1$。这意味着节点 $2$ 和 $3$ 之间的简单路径经过节点 $0$。
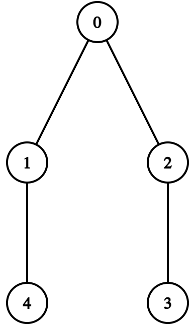
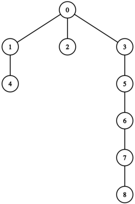
在第二个测试用例中,Genokraken 的神经系统形成如下树:

- 对于 "? 2 3" 的答案是 $1$。这意味着节点 $2$ 和 $3$ 之间的简单路径经过节点 $0$。
- 对于 "? 2 4" 的答案是 $0$。这意味着节点 $2$ 和 $4$ 之间的简单路径不经过节点 $0$。
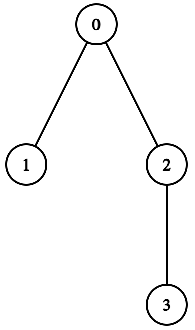
在第三个测试用例中,Genokraken 的神经系统形成如下树:

由 ChatGPT 4.1 翻译