CF2127H 23 Rises Again
题目描述
Kiarash 正在采摘草莓带回家……
如果一个图中每个顶点的度数都不超过 $2$,则称该图为“糖果图”。
给定一个简单、无向且连通的图 $G$,有 $n\le 30$ 个顶点,并且具有如下特殊性质:**每个顶点至多属于 $5$ 个简单环$^{\text{∗}}$**。
你需要求出 $G$ 的所有“糖果”子图$^{\text{†}}$中,最多能有多少条边。
$^{\text{∗}}$简单环是指一个连通子图,其中每个顶点的度数恰好为 $2$。
$^{\text{†}}$图 $G$ 的子图是指其顶点集和边集均为 $G$ 的子集的图。
输入格式
每个测试点包含多组测试数据。第一行输入测试数据组数 $t$($1 \le t \le 50$)。接下来是每组测试数据的描述。
每组测试数据的第一行包含两个整数 $n$ 和 $m$($3 \leq n \leq 30$,$n-1 \leq m \leq \frac{n(n-1)}{2}$),分别表示顶点数和边数。
接下来 $m$ 行,每行两个整数 $u$ 和 $v$($1 \leq u, v \leq n$),表示第 $i$ 条边连接的两个顶点。
保证给定的图是简单图且连通,并且每个顶点至多属于 $5$ 个简单环。
保证所有测试数据中 $n^2$ 的总和不超过 $900$。
输出格式
对于每组测试数据,输出一个整数,表示所有“糖果”子图中最多的边数。
说明/提示
在第一个测试点中,你可以选择下图中标记的边。另一方面,你不能选择所有的边,因为顶点 $3$ 的度数会超过 $2$。所以所有“糖果”子图中最多有 $3$ 条边。

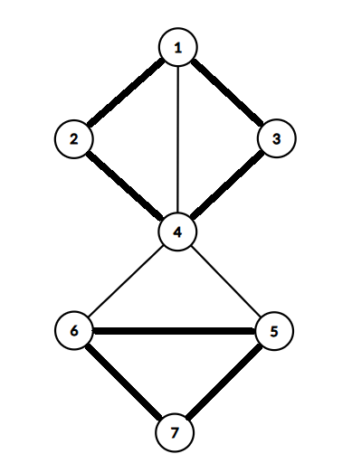
在第二个测试点中,你可以选择下图中标记的边。可以证明,任何“糖果”子图最多有 $7$ 条边。

在第三个测试点中,下图展示了一个边数最多的“糖果”子图。

由 ChatGPT 4.1 翻译