CF2133C The Nether
题目描述
这是一个交互题。
Steve 最近发现了下界(The Nether),他在自己的世界里建造了 $n$ 个下界传送门,每个传送门的位置都不同。
每个传送门都以有向的方式连接到若干(可能为零)其他传送门。为了避免迷路,Steve 精心设计了传送门网络,使得不存在通过一系列传送门跳跃后又回到原位置的情况;形式上,这个网络构成了一个有向无环图(DAG)。
Steve 不会告诉你哪些传送门彼此相连,但他允许你进行询问。每次询问时,你需要给 Steve 一个位置集合 $S = \{s_1, s_2, \ldots, s_k\}$ 以及一个起始位置 $x \in S$。Steve 会帮你计算从 $x$ 出发,仅经过 $S$ 中的位置的最长路径,并告诉你这条路径包含多少个位置。(如果从 $x$ 出发无法到达 $S$ 中的其他位置,Steve 会回答 $1$。)
你想获得成就“热门旅游胜地”(Hot Tourist Destinations),因此你希望找到一条经过尽可能多位置的路径。Steve 今天格外慷慨,他允许你进行 $2 \cdot n$ 次询问来找到这条路径。
输入格式
每个测试点包含多个测试用例。第一行包含一个整数 $t$($1 \le t \le 1000$),表示测试用例的数量。
每个测试用例的唯一一行包含一个整数 $n$($2 \le n \le 500$),表示位置的数量。
保证所有测试用例中 $n^3$ 的和不超过 $500^3$。
输出格式
(交互题,无需输出格式说明。)
说明/提示
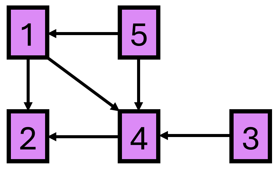
在第一个测试用例中,传送门网络如下图所示:

- 从位置 $1$ 出发,仅经过 $\{1, 2, 3, 4\}$ 的最长路径是 $1 \rightarrow 4 \rightarrow 2$,包含 $3$ 个不同的位置。
- 从位置 $3$ 出发,仅经过 $\{2, 3, 4\}$ 的最长路径是 $3 \rightarrow 4 \rightarrow 2$,包含 $3$ 个不同的位置。
- 从位置 $5$ 出发,仅经过 $\{1, 5\}$ 的最长路径是 $5 \rightarrow 1$,包含 $2$ 个不同的位置。
- 从 $2$ 出发无法到达 $\{2, 4\}$ 中的其他位置,因此 Steve 回答 $1$。
利用这些询问信息,可以确定一条最长路径为 $5 \rightarrow 1 \rightarrow 4 \rightarrow 2$。
在第二个测试用例中,传送门网络如下图所示:

两个传送门之间没有连接,因此最长路径只包含一个位置。注意 $1\ 2$ 也是一个合法答案。
由 ChatGPT 4.1 翻译