CF2133E I Yearned For The Mines
题目描述
小时候,Steve 渴望进入矿井!他的矿井可以表示为一棵有 $n$ 个节点的树$^{\ast}$。
不幸的是,Steve 的最大死敌 Herobrine 潜入了他的矿井!任何时刻,Herobrine 都正好藏在一个节点里;最初,他可能在任意一个节点。Steve 可以执行以下操作:
- $1\,\,x$ —— 检查 Herobrine 当前是否在节点 $x$。如果在,Steve 就抓住了他。否则,Herobrine 可以选择是否移动到任意一个相邻节点(除了你刚刚检查过的那个)。
- $2\,\,x$ —— 摧毁所有与节点 $x$ 相连的边;Herobrine 之后将无法再通过这些边移动。随后,Herobrine 可以选择是否移动到任意一个相邻节点。
请你找出一组不超过 $\left\lfloor \frac{5}{4} \cdot n \right\rfloor$ 次操作的方案,使得无论 Herobrine 最初藏在哪里、如何移动,Steve 都一定能抓住他。我们已经证明,在给定约束下总是存在这样的方案。
$^{\ast}$树是一个无环连通图。
输入格式
每个测试点包含多组测试数据。第一行包含一个整数 $t$($1 \le t \le 10^4$),表示测试数据组数。
每组测试数据的第一行包含一个整数 $n$($2 \le n \le 2 \cdot 10^5$),表示节点数。
接下来的 $n-1$ 行,每行包含两个整数 $u$ 和 $v$($1 \le u, v \le n$),表示节点 $u$ 和 $v$ 之间有一条边。
保证给定的边构成一棵树。
保证所有测试数据中 $n$ 的总和不超过 $2 \cdot 10^5$。
输出格式
对于每组测试数据,首先输出一个整数 $k$($1 \le k \le \left\lfloor \frac{5}{4} \cdot n \right\rfloor$),表示你要执行的操作数。
接下来输出 $k$ 行。第 $i$ 行($1 \le i \le k$)包含两个整数 $t_i$ 和 $x_i$($1 \le t_i \le 2$,$1 \le x_i \le n$),表示第 $i$ 次操作是在节点 $x_i$ 上执行操作 $t_i$。
说明/提示
在第一个测试点中,树的结构如下:

最初,Herobrine 可能在任意一个节点。第一次操作检查节点 $1$,如果 Herobrine 在节点 $1$,他就被抓住了;否则,他只能在节点 $2$(他不能移动到刚刚检查过的节点 $1$)。因此,第二次操作检查节点 $2$,Herobrine 必然被抓住。
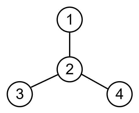
在第二个测试点中,树的结构如下:

最初,Herobrine 可能在任意一个节点 $[1, 2, 3, 4]$。第一次操作后,Herobrine 只能在节点 $[1, 3, 4]$。第二次操作摧毁了与节点 $2$ 相连的所有边。由于与节点 $1$、$3$、$4$ 相连的所有边都被摧毁,Herobrine 无法再移动。因此,接下来分别检查这三个节点(操作 $3$、$4$、$5$),就一定能抓住 Herobrine。
由 ChatGPT 4.1 翻译