CF214A System of Equations

题目描述

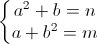
Furik "非常喜欢" 数学课, 所以他从不去上课, 不像 Rubik. 但是现在Furik想要得到一个好一点的数学成绩. 为此, 他的数学老师Ms. Ivanova给了他一个新任务. Furik一瞬间就搞定了. 你行吗? 给你一个如下的等式方程组: ![](https://cdn.luogu.org/upload/vjudge_pic/CF214A/62e1cfae0726c97a669dda13cb6a561eafa52412.png)你的任务是计算, 有多少组整数(a,b)(0

输入格式

仅一行, 包含两个整数 n,m (1

输出格式

输出答案, 仅一行.

说明/提示

In the first sample the suitable pair is integers $ (3,0) $ . In the second sample the suitable pair is integers $ (3,5) $ . In the third sample there is no suitable pair.