CF214A System of Equations
Description
Furik loves math lessons very much, so he doesn't attend them, unlike Rubik. But now Furik wants to get a good mark for math. For that Ms. Ivanova, his math teacher, gave him a new task. Furik solved the task immediately. Can you?
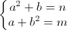
You are given a system of equations:
You should count, how many there are pairs of integers $ (a,b) $ $ (0
Input Format
A single line contains two integers $ n,m $ $ (1
Output Format
On a single line print the answer to the problem.
Explanation/Hint
In the first sample the suitable pair is integers $ (3,0) $ . In the second sample the suitable pair is integers $ (3,5) $ . In the third sample there is no suitable pair.