CF2176D Fibonacci Paths
题目描述
给定一个包含 $n$ 个顶点和 $m$ 条边的有向图。每个顶点 $v$ 上对应一个正整数 $a_v$。请你统计所有由至少两个顶点组成的不同简单路径,使得沿路径经过顶点的数字序列构成一个广义斐波那契数列。
在本题中,若数列 $x_0, x_1, \ldots, x_k$ 满足以下条件,则称其为广义斐波那契数列:
- $x_0, x_1$ 为任意自然数。
- 对所有 $2 \le i \le k$,都有 $x_i = x_{i-2} + x_{i-1}$。
注意,广义斐波那契数列至少包含两个数字。
由于答案可能很大,输出其对 $998\,244\,353$ 取模的结果。
一个简单路径指在有向图中按顺序经过顶点 $v_1, v_2, \ldots, v_k$,且所有顶点至多出现一次,并且对于所有 $i < k$,存在从 $v_i$ 到 $v_{i+1}$ 的有向边。
输入格式
每个测试点包含若干组测试数据。第一行为测试数据组数 $t$($1 \le t \le 10^4$)。每组测试数据包括:
第一行,两个整数 $n$ 和 $m$($2 \le n \le 2 \cdot 10^5$,$1 \le m \le 2 \cdot 10^5$)——图中顶点数和边数。
第二行为 $n$ 个正整数 $a_1, a_2, \ldots, a_n$($1 \le a_i \le 10^{18}$)——每个顶点上的数字。
接下来 $m$ 行,每行两个正整数 $v, u$($1 \le v, u \le n$,$u \ne v$),表示一条从 $v$ 到 $u$ 的有向边。保证不存在重边。
保证所有测试数据中 $n$ 的总和与 $m$ 的总和不超过 $2 \times 10^5$。
输出格式
对于每组测试数据,输出广义斐波那契路径的数量,对 $998\,244\,353$ 取模。
说明/提示
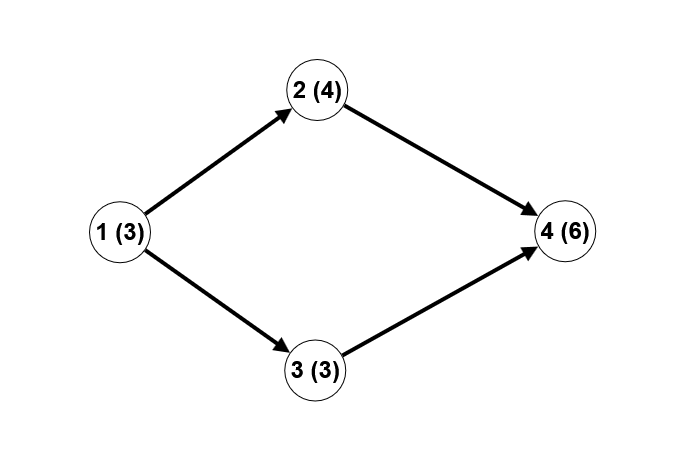
第一个样例的解释(顶点编号在括号外,顶点上的数字在括号内):

本例中共有 5 条广义斐波那契路径:(1, 2), (1, 3), (2, 4), (3, 4), (1, 3, 4)。例如,路径 (1, 3, 4) 沿途顶点上的数字序列为:\[3, 3, 6\],可以看到第三个数字等于前两个数字之和。
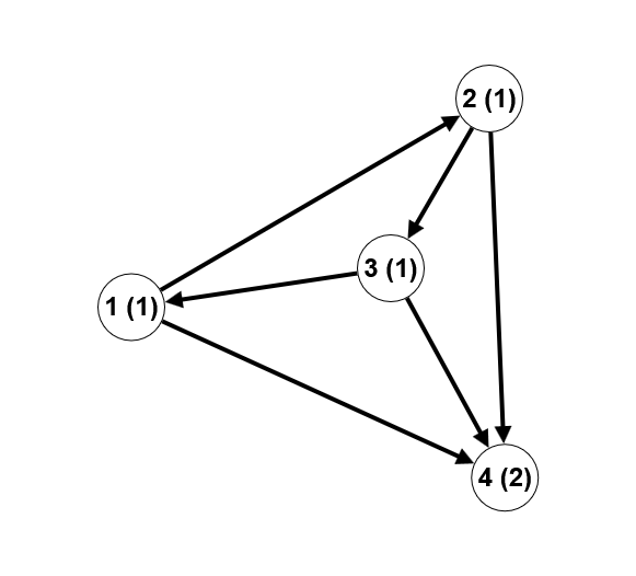
第二个样例的解释:

本例中共有 9 条广义斐波那契路径:(1, 2), (1, 4), (2, 3), (2, 4), (3, 1), (3, 4), (1, 2, 4), (2, 3, 4), (3, 1, 4)。注意,路径 (1, 2, 3) 上的数字序列为:\[1, 1, 1\],这不是广义斐波那契数列。
由 ChatGPT 5 翻译