CF2178F Conquer or of Forest
题目描述
定义有根树的独特装饰性染色如下:
- 当以顶点 $v$ 为根的子树中的顶点个数是偶数时,将顶点 $v$ 染为白色;
- 否则,将 $v$ 染成黑色。
在征服圣诞树森林的征途上,Yuuki 遇到了一棵已被装饰性染色的树 $T$,该树有 $n$ 个顶点,编号从 $1$ 到 $n$,根为顶点 $1$。
Yuuki 认为一棵树被征服当且仅当下列任一条件成立:
- 树中不存在白色顶点,或
- 存在某个顶点 $v$,使得所有白色顶点都位于从根 $1$ 到 $v$ 的唯一路径上。
为了征服这棵树,Yuuki 可以任意次(也可以不做)进行如下操作:
- 首先,选择一个染成白色且不是 $T$ 根的顶点 $w$。设 $p_w$ 是 $w$ 的父节点。
- 然后,移除连接 $p_w$ 和 $w$ 的边,并在任意两顶点间添加一条边,前提是 $T$ 依然是一棵树。
- 最后,重染 $T$ 使其满足装饰染色规则。注意,$T$ 总是以顶点 $1$ 为根。

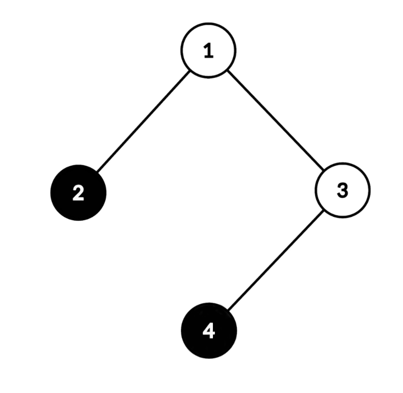
上图为第一组样例中操作的可能结果。生成的树被征服,因为所有白色顶点都在 $1$ 到 $3$ 的唯一路径上。
请计算通过任意次如上操作后,Yuuki 能够构造出的不同被征服树的数量。由于答案可能很大,请对 $998\,244\,353$ 取模输出。
注意,Yuuki 不能中途终止一次操作(特别是,他必须在判断前对树重新染色)。另外,即使树已经被征服,Yuuki 依然可以继续操作。
注解:
- $^*$ 树是一个无环连通图。
- $^\dagger$ 顶点 $v$ 的子树是由 $v$ 及其所有后代和这些点之间的所有边组成的子图。
- $^\ddagger$ 只有当一对顶点在其中一棵树中有一条边、在另一棵树中没有这条边时,两棵树才被认为是不同的。
输入格式
每组测试数据包含多组测试用例。第一行包含测试用例组数 $t$($1 \le t \le 10^4$)。
每组测试数据第一行为一个整数 $n$($2\le n\le 2\cdot 10^5$),表示 $T$ 的顶点数。
接下来 $n-1$ 行,每行包含两个整数 $u_i$ 和 $v_i$($1\le u_i
输出格式
对于每个测试用例,输出一个整数,表示能够从 $T$ 构造出的不同被征服树的数量,对 $998\,244\,353$ 取模。
说明/提示
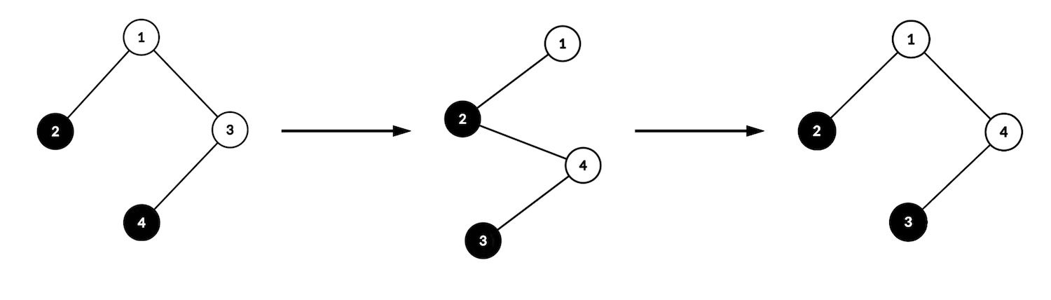
在第一个测试用例中,下列给出了能构造的四棵被征服树及其操作序列:
说明 | 插图
------|-----
- 零次操作。初始树已经被征服,因为所有白色顶点都在 $1$ 到 $4$ 的唯一路径上。 | 
- 第一次也是唯一一次操作选择 $w=3$($p_w=1$),在 $2$ 与 $4$ 之间连边。新树已被征服,因为所有白色顶点都在 $1$ 到 $3$ 的唯一路径上。 | 
- 第一次也是唯一一次操作选择 $w=3$($p_w=1$),在 $2$ 与 $3$ 之间连边。新树已被征服,因为所有白色顶点都在 $1$ 到 $3$ 的唯一路径上。 | 
- 第一次操作选择 $w=3$($p_w=1$),在 $2$ 与 $4$ 之间连边。第二次操作选择 $w=4$($p_w=2$),在 $1$ 与 $4$ 之间连边。最终新树已被征服,因为所有白色顶点都在 $1$ 到 $4$ 的唯一路径上。 | 
在第二组样例中,$T$ 不存在白色顶点,因此无法进行操作。而 $T$ 已经被征服,所以答案为 $1$。
由 ChatGPT 5 翻译